2025年活动单导学课程高中化学选择性必修第三册苏教版
注:目前有些书本章节名称可能整理的还不是很完善,但都是按照顺序排列的,请同学们按照顺序仔细查找。练习册 2025年活动单导学课程高中化学选择性必修第三册苏教版 答案主要是用来给同学们做完题方便对答案用的,请勿直接抄袭。
第29页
- 第1页
- 第2页
- 第3页
- 第4页
- 第5页
- 第6页
- 第7页
- 第8页
- 第9页
- 第10页
- 第11页
- 第12页
- 第13页
- 第14页
- 第15页
- 第16页
- 第17页
- 第18页
- 第19页
- 第20页
- 第21页
- 第22页
- 第23页
- 第24页
- 第25页
- 第26页
- 第27页
- 第28页
- 第29页
- 第30页
- 第31页
- 第32页
- 第33页
- 第34页
- 第35页
- 第36页
- 第37页
- 第38页
- 第39页
- 第40页
- 第41页
- 第42页
- 第43页
- 第44页
- 第45页
- 第46页
- 第47页
- 第48页
- 第49页
- 第50页
- 第51页
- 第52页
- 第53页
- 第54页
- 第55页
- 第56页
- 第57页
- 第58页
- 第59页
- 第60页
- 第61页
- 第62页
- 第63页
- 第64页
- 第65页
- 第66页
- 第67页
- 第68页
- 第69页
- 第70页
- 第71页
- 第72页
- 第73页
- 第74页
- 第75页
- 第76页
- 第77页
- 第78页
- 第79页
- 第80页
- 第81页
- 第82页
- 第83页
- 第84页
- 第85页
- 第86页
- 第87页
- 第88页
- 第89页
- 第90页
- 第91页
- 第92页
- 第93页
- 第94页
- 第95页
- 第96页
- 第97页
- 第98页
- 第99页
- 第100页
- 第101页
- 第102页
- 第103页
- 第104页
- 第105页
- 第106页
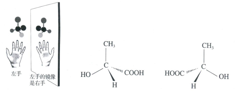
活动五:了解立体异构中的对映异构

1. 用模型分析上图中的对映异构,讨论后回答,它们是不是同一物质?什么是对映异构?什么是对映异构体?
2. 上图中两种乳酸,一种是人们剧烈运动后肌肉发酸会分解出的乳酸,另一种是通过乳糖发酵得到的乳酸,这两种不同途径得到的乳酸分子的构造相同,物理性质、化学性质也相同,两者是什么关系?
1. 用模型分析上图中的对映异构,讨论后回答,它们是不是同一物质?什么是对映异构?什么是对映异构体?
2. 上图中两种乳酸,一种是人们剧烈运动后肌肉发酸会分解出的乳酸,另一种是通过乳糖发酵得到的乳酸,这两种不同途径得到的乳酸分子的构造相同,物理性质、化学性质也相同,两者是什么关系?
答案:
1. 不是同一物质,它们互为对映异构体。有机化合物组成相同,分子构造也相同,但两者互为镜像,彼此不能重合,这种同分异构现象称为对映异构,也称旋光异构。把两个互为镜像且不能重叠的异构体称为对映异构体。
2. 两者是对映异构关系。
2. 两者是对映异构关系。
3. 阅读教材第33页“拓展视野”的内容,什么分子是手性分子?什么是手性碳原子?你认为形成对映异构的条件是什么?
答案:
3. 分子不能与其镜像重叠者,称为手性分子。与4个不同的原子或原子团相连的碳原子称为手性碳原子。形成对映异构的分子必须含有手性碳原子。
查看更多完整答案,请扫码查看