第78页
- 第1页
- 第2页
- 第3页
- 第4页
- 第5页
- 第6页
- 第7页
- 第8页
- 第9页
- 第10页
- 第11页
- 第12页
- 第13页
- 第14页
- 第15页
- 第16页
- 第17页
- 第18页
- 第19页
- 第20页
- 第21页
- 第22页
- 第23页
- 第24页
- 第25页
- 第26页
- 第27页
- 第28页
- 第29页
- 第30页
- 第31页
- 第32页
- 第33页
- 第34页
- 第35页
- 第36页
- 第37页
- 第38页
- 第39页
- 第40页
- 第41页
- 第42页
- 第43页
- 第44页
- 第45页
- 第46页
- 第47页
- 第48页
- 第49页
- 第50页
- 第51页
- 第52页
- 第53页
- 第54页
- 第55页
- 第56页
- 第57页
- 第58页
- 第59页
- 第60页
- 第61页
- 第62页
- 第63页
- 第64页
- 第65页
- 第66页
- 第67页
- 第68页
- 第69页
- 第70页
- 第71页
- 第72页
- 第73页
- 第74页
- 第75页
- 第76页
- 第77页
- 第78页
- 第79页
- 第80页
- 第81页
- 第82页
- 第83页
- 第84页
- 第85页
- 第86页
- 第87页
- 第88页
- 第89页
- 第90页
- 第91页
- 第92页
- 第93页
- 第94页
- 第95页
- 第96页
- 第97页
- 第98页
- 第99页
- 第100页
- 第101页
- 第102页
- 第103页
- 第104页
- 第105页
- 第106页
- 第107页
- 第108页
- 第109页
- 第110页
- 第111页
- 第112页
- 第113页
- 第114页
- 第115页
- 第116页
- 第117页
4. 重为 $ 5 \, N $ 的小球,竖直向上抛出,上升和下降过程中受到的空气阻力都是 $ 0.5 \, N $,上升和下降过程中所受的合力的大小和方向正确的是(
A.上升时大小为 $ 5.5 \, N $,方向竖直向上
B.下降时大小为 $ 4.5 \, N $,方向竖直向上
C.上升时大小为 $ 4.5 \, N $,方向竖直向下
D.下降时大小为 $ 4.5 \, N $,方向竖直向下
D
)A.上升时大小为 $ 5.5 \, N $,方向竖直向上
B.下降时大小为 $ 4.5 \, N $,方向竖直向上
C.上升时大小为 $ 4.5 \, N $,方向竖直向下
D.下降时大小为 $ 4.5 \, N $,方向竖直向下
答案:
D
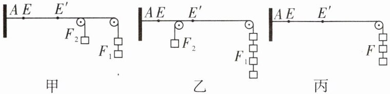
物理老师利用橡皮筋、定滑轮、钩码、小绳子,和同学们一起探究同一直线上二力的合成,实验装置如图所示,橡皮筋原长为 $ AE $,在力 $ F_1 $、$ F_2 $ 的共同作用下伸长到 $ AE' $。

(1)实验中,老师每次均将橡皮筋右端拉至 $ E' $ 点,这样做的目的是
(2)通过比较图
(3)通过比较图乙和图丙两种情况,可知同一直线上方向相反的两个力的合力大小等于这两个力大小之差,方向跟
(1)实验中,老师每次均将橡皮筋右端拉至 $ E' $ 点,这样做的目的是
控制力的作用效果相同
。(2)通过比较图
甲
和图______丙
两种情况,可知同一直线上方向相同的两个力的合力大小等于这两个力大小之______和
,方向跟这两个力的方向相同。(3)通过比较图乙和图丙两种情况,可知同一直线上方向相反的两个力的合力大小等于这两个力大小之差,方向跟
较大
(选填“较大”或“较小”)的那个力的方向相同。
答案:
(1)控制力的作用效果相同
(2)甲 丙 和
(3)较大
(1)控制力的作用效果相同
(2)甲 丙 和
(3)较大
查看更多完整答案,请扫码查看