2025年暑假集训合肥工业大学出版社五年级数学苏教版
注:目前有些书本章节名称可能整理的还不是很完善,但都是按照顺序排列的,请同学们按照顺序仔细查找。练习册 2025年暑假集训合肥工业大学出版社五年级数学苏教版 答案主要是用来给同学们做完题方便对答案用的,请勿直接抄袭。
知识点5 化简形如“$ax\pm bx$”的式子的方法
例5 在“争做环保小卫士”活动中,四年级同学平均每人收集废物5千克,三年级同学平均每人收集废物3千克,两个年级都有a人参加这次活动。三、四年级一共收集废物多少千克?
【解析】三年级平均每人收集废物3千克,那么a个同学共收集废物3a千克;四年级平均每人收集废物5千克,那么a个同学共收集废物5a千克。所以三、四年级一共收集废物(3a+5a)千克。
【答案】3a+5a= 8a(千克)
答:三、四年级一共收集废物8a千克。
例5 在“争做环保小卫士”活动中,四年级同学平均每人收集废物5千克,三年级同学平均每人收集废物3千克,两个年级都有a人参加这次活动。三、四年级一共收集废物多少千克?
【解析】三年级平均每人收集废物3千克,那么a个同学共收集废物3a千克;四年级平均每人收集废物5千克,那么a个同学共收集废物5a千克。所以三、四年级一共收集废物(3a+5a)千克。
【答案】3a+5a= 8a(千克)
答:三、四年级一共收集废物8a千克。
答案:
解析:
本题主要考查用字母表示数以及化简形如“$ax \pm bx$”的式子的方法。
题目给出了三年级和四年级同学平均每人收集废物的重量,以及两个年级参加活动的人数都为$a$人。
根据这些信息,可以计算出三年级和四年级各自收集废物的总重量,然后将这两个总重量相加,即可得到两个年级一共收集的废物重量,最后对式子进行化简。
答案:
三年级平均每人收集废物$3$千克,$a$人共收集$3a$千克;
四年级平均每人收集废物$5$千克,$a$人共收集$5a$千克;
两个年级一共收集废物:
$3a + 5a = 8a$(千克);
答:三、四年级一共收集废物$8a$千克。
本题主要考查用字母表示数以及化简形如“$ax \pm bx$”的式子的方法。
题目给出了三年级和四年级同学平均每人收集废物的重量,以及两个年级参加活动的人数都为$a$人。
根据这些信息,可以计算出三年级和四年级各自收集废物的总重量,然后将这两个总重量相加,即可得到两个年级一共收集的废物重量,最后对式子进行化简。
答案:
三年级平均每人收集废物$3$千克,$a$人共收集$3a$千克;
四年级平均每人收集废物$5$千克,$a$人共收集$5a$千克;
两个年级一共收集废物:
$3a + 5a = 8a$(千克);
答:三、四年级一共收集废物$8a$千克。
1.把下面这些数填在相应的框内。
-9,$+\frac{5}{6}$,-1.8,0,$-\frac{3}{7}$,+10,0.5

-9,$+\frac{5}{6}$,-1.8,0,$-\frac{3}{7}$,+10,0.5
答案:
正数:$+\frac{5}{6}$,$+10$,$0.5$ 负数:$-9$,$-1.8$,$-\frac{3}{7}$
|月份|一月份|二月份|三月份|四月份|五月份|六月份|
|盈亏(元)|
|盈亏(元)|
+1500
|+2500
|-280
|-850
|+360
|+780
|
答案:
$+1500$ $+2500$ $-280$ $-850$ $+360$ $+780$
3.大客车每小时行x千米,小汽车每小时比大客车多行20千米。
(1)x+20表示(
(2)大客车4小时行驶的路程是(
(3)小汽车9小时行驶的路程是(
(1)x+20表示(
小汽车每小时行驶的路程
)。(2)大客车4小时行驶的路程是(
4x
)。(3)小汽车9小时行驶的路程是(
9(x+20)
)。
答案:
(1)小汽车每小时行驶的路程
(2)$4x$
(3)$9(x+20)$
(1)小汽车每小时行驶的路程
(2)$4x$
(3)$9(x+20)$
4.化简下列各式。
5x+4x 8y-y
7x+7x+6x 7a+a
15x+6x 5b+4b-9b
5x+4x 8y-y
7x+7x+6x 7a+a
15x+6x 5b+4b-9b
答案:
$9x$ $7y$ $20x$ $8a$ $21x$ $0$
5.速生杨的树径每年大约增长3厘米。
(1)如果栽种时的树径为5厘米,a年后这棵树的树径是多少厘米?
(2)当a= 6时,这棵树的树径是多少厘米?
(1)如果栽种时的树径为5厘米,a年后这棵树的树径是多少厘米?
(2)当a= 6时,这棵树的树径是多少厘米?
答案:
(1)$(5+3a)$厘米
(2)$5+3×6=23$(厘米)
(1)$(5+3a)$厘米
(2)$5+3×6=23$(厘米)
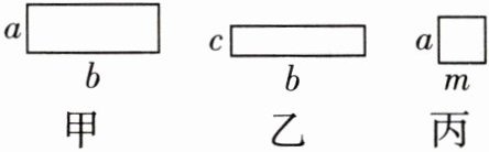
6.在下面的图形中任选两个图形拼成一个长方形,并用含有字母的式子表示拼成的长方形的长、宽和面积。

答案:
示例:甲和乙拼 长:$b$ 宽:$a+c$ 面积:$(a+c)b$
查看更多完整答案,请扫码查看