第82页
- 第1页
- 第2页
- 第3页
- 第4页
- 第5页
- 第6页
- 第7页
- 第8页
- 第9页
- 第10页
- 第11页
- 第12页
- 第13页
- 第14页
- 第15页
- 第16页
- 第17页
- 第18页
- 第19页
- 第20页
- 第21页
- 第22页
- 第23页
- 第24页
- 第25页
- 第26页
- 第27页
- 第28页
- 第29页
- 第30页
- 第31页
- 第32页
- 第33页
- 第34页
- 第35页
- 第36页
- 第37页
- 第38页
- 第39页
- 第40页
- 第41页
- 第42页
- 第43页
- 第44页
- 第45页
- 第46页
- 第47页
- 第48页
- 第49页
- 第50页
- 第51页
- 第52页
- 第53页
- 第54页
- 第55页
- 第56页
- 第57页
- 第58页
- 第59页
- 第60页
- 第61页
- 第62页
- 第63页
- 第64页
- 第65页
- 第66页
- 第67页
- 第68页
- 第69页
- 第70页
- 第71页
- 第72页
- 第73页
- 第74页
- 第75页
- 第76页
- 第77页
- 第78页
- 第79页
- 第80页
- 第81页
- 第82页
- 第83页
- 第84页
- 第85页
11. 加入适量的硫酸溶液,可使溶液中下列离子数量显著减少的是 ( )
A. Cl⁻
B. Ba²⁺
C. NO₃⁻
D. Na⁺
A. Cl⁻
B. Ba²⁺
C. NO₃⁻
D. Na⁺
答案:
B
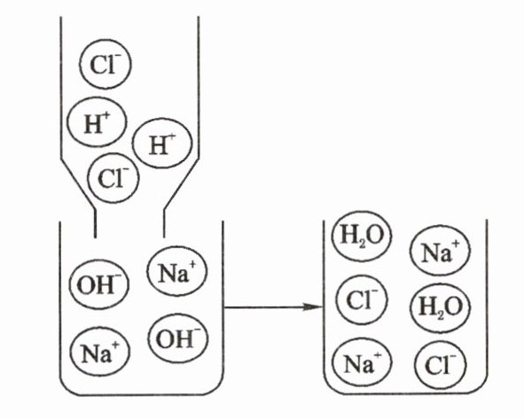
12. 复分解反应的实质是离子之间通过生成水、沉淀或气体发生反应。如图所示,稀盐酸和氢氧化钠溶液反应的实质是 H⁺ + OH⁻ = H₂O,则图中的氯化钠溶液和硝酸银溶液反应,实际参加反应的离子是 ( )


A. Ag⁺、Cl⁻
B. Ag⁺、NO₃⁻
C. Na⁺、Cl⁻
D. Na⁺、NO₃⁻
A. Ag⁺、Cl⁻
B. Ag⁺、NO₃⁻
C. Na⁺、Cl⁻
D. Na⁺、NO₃⁻
答案:
A
13. 某科研小组对初步处理后的澄清废水进行检测,发现其中含有 Na⁺、OH⁻、Cl⁻、CO₃²⁻、X 五种离子,则 X 可能是 ( )
A. K⁺
B. Ag⁺
C. Ba²⁺
D. Mg²⁺
A. K⁺
B. Ag⁺
C. Ba²⁺
D. Mg²⁺
答案:
A
14. 酸、碱、盐在工农业生产、生活中应用广泛。请回答相关问题:
(1) 盐酸和硫酸都是重要的酸,它们具有相似化学性质的原因是在水溶液中都能解离出酸根和____________________(填写符号);它们在工业上常用于金属除锈,请写出用盐酸除去铁锈的化学方程式:____________________。
(2) 酸和碱的中和反应在实际中应用广泛。某校化学实验室的废液中有残留的硫酸,用 pH 试纸测定该废液的 pH______7。若直接排放会导致环境污染,从经济可行的角度考虑,选用熟石灰处理该废液,有关化学方程式为____________________。
(3) 小苏打是焙制糕点所用的发酵粉的主要成分之一,在医疗上也是治疗胃酸过多症的一种药剂,请写出该反应的化学方程式:____________________。
(1) 盐酸和硫酸都是重要的酸,它们具有相似化学性质的原因是在水溶液中都能解离出酸根和____________________(填写符号);它们在工业上常用于金属除锈,请写出用盐酸除去铁锈的化学方程式:____________________。
(2) 酸和碱的中和反应在实际中应用广泛。某校化学实验室的废液中有残留的硫酸,用 pH 试纸测定该废液的 pH______7。若直接排放会导致环境污染,从经济可行的角度考虑,选用熟石灰处理该废液,有关化学方程式为____________________。
(3) 小苏打是焙制糕点所用的发酵粉的主要成分之一,在医疗上也是治疗胃酸过多症的一种药剂,请写出该反应的化学方程式:____________________。
答案:
$H^{+}$@@$Fe_{2}O_{3}+6HCl = 2FeCl_{3}+3H_{2}O$@@小于@@$Ca(OH)_{2}+H_{2}SO_{4}=CaSO_{4}+2H_{2}O$@@$NaHCO_{3}+HCl = NaCl + H_{2}O + CO_{2}\uparrow$
跨学科实践活动 7
探究溶液酸碱性对紫甘蓝颜色的影响
活动任务一:探究溶液酸碱性对紫甘蓝颜色的影响
1. 你们小组制作的紫甘蓝提取液是什么颜色? ____________。
在制作紫甘蓝提取液过程中,可能会出现一些影响显色效果的因素。记录你们小组在制作提取液的过程中以下因素的相关数据。

2. 利用你们小组制作的提取液测试几种酸和碱的溶液。
你认为能否利用紫甘蓝提取液作为酸碱指示剂,依据是什么? 在实验过程中需要控制哪些变量?
活动任务二:自制紫甘蓝试纸
1. 紫甘蓝试纸的制作
将滤纸放在紫甘蓝提取液中浸泡,晾干,反复操作多次,使其着色明显,剪成条状备用。与其他小组制作的试纸进行对比,观察颜色是否接近。
2. 绘制色卡图
(1)根据老师提供的 pH 标准液,用你们小组制作的紫甘蓝试纸对不同 pH 的酸、碱溶液进行测试。标出不同 pH 下的紫甘蓝试纸的显色情况,并绘制色卡图。
(2)与实验室提供的广泛 pH 试纸进行对比,说一说自制试纸的优点与不足。
探究溶液酸碱性对紫甘蓝颜色的影响
活动任务一:探究溶液酸碱性对紫甘蓝颜色的影响
1. 你们小组制作的紫甘蓝提取液是什么颜色? ____________。
在制作紫甘蓝提取液过程中,可能会出现一些影响显色效果的因素。记录你们小组在制作提取液的过程中以下因素的相关数据。
2. 利用你们小组制作的提取液测试几种酸和碱的溶液。
你认为能否利用紫甘蓝提取液作为酸碱指示剂,依据是什么? 在实验过程中需要控制哪些变量?
活动任务二:自制紫甘蓝试纸
1. 紫甘蓝试纸的制作
将滤纸放在紫甘蓝提取液中浸泡,晾干,反复操作多次,使其着色明显,剪成条状备用。与其他小组制作的试纸进行对比,观察颜色是否接近。
2. 绘制色卡图
(1)根据老师提供的 pH 标准液,用你们小组制作的紫甘蓝试纸对不同 pH 的酸、碱溶液进行测试。标出不同 pH 下的紫甘蓝试纸的显色情况,并绘制色卡图。
(2)与实验室提供的广泛 pH 试纸进行对比,说一说自制试纸的优点与不足。
答案:
探究溶液酸碱性对紫甘蓝颜色的影响 活动任务一:探究溶液酸碱性对紫甘蓝颜色的影响 1. 略。 提示:正常的紫甘蓝提取液应为紫色,如果紫甘蓝叶片过大、温度过高或过低、酒精浓度过小、暴露在空气中的时间过长都会影响紫甘蓝提取液的颜色。一般95%的酒精,温度在30℃,浸泡时间控制在30分钟左右的效果最好。 2. 紫甘蓝提取液可以用作酸碱指示剂,原因是紫甘蓝中的色素在酸性、碱性的环境下会发生不同颜色的变化。一般来讲紫甘蓝提取液遇到酸性溶液时会呈现粉红色或红色,遇到碱性溶液时会呈现绿色或黄色,在弱碱性溶液中会呈现蓝色。由于配制提取液的环境条件不同,紫甘蓝中的色素有可能会发生不同变化,所以颜色显示会出现微小的变化。在用紫甘蓝提取液作酸碱指示剂时应考虑提取液的用量和浓度等变量。 活动任务二:自制紫甘蓝试纸 1. 略。 提示:紫甘蓝中的色素受温度、湿度、光照等因素影响会发生一些变化,所以自制的紫甘蓝试纸可能会有一些颜色上的不同。 2.
(1)略。
(2)自制紫甘蓝试纸可以就地取材,可用于家庭里一些物质酸碱性的简单测试;自制试纸的准确性不高。
(1)略。
(2)自制紫甘蓝试纸可以就地取材,可用于家庭里一些物质酸碱性的简单测试;自制试纸的准确性不高。
查看更多完整答案,请扫码查看