2025年步步高精准讲练物理选择性必修第二册
注:目前有些书本章节名称可能整理的还不是很完善,但都是按照顺序排列的,请同学们按照顺序仔细查找。练习册 2025年步步高精准讲练物理选择性必修第二册 答案主要是用来给同学们做完题方便对答案用的,请勿直接抄袭。
1. (2024·宁波市奉化区高二期末)如图所示,在阴极射线管中电子流方向由左向右,在其正下方放置一条形磁体,位置如图,则阴极射线将会

A.向上偏转
B.向下偏转
C.向纸内偏转
D.向纸外偏转
A.向上偏转
B.向下偏转
C.向纸内偏转
D.向纸外偏转
答案:
1.C [条形磁体在阴极射线处产生的磁场方向斜向上(左侧斜向左上,右侧斜向右上),电子带负电,在阴极射线管中向右运动,由左手定则判定电子流所受洛伦兹力方向垂直纸面向里,故阴极射线会向纸内偏转,故选C。]
2. 如图所示,导电物质为电子的霍尔元件位于两串联线圈之间,线圈中电流为I,线圈间产生匀强磁场,磁感应强度大小B与I成正比,方向垂直于霍尔元件的两侧面,此时通过霍尔元件的电流为$I_{H}$,与其前、后表面相连的电压表测出的霍尔电压$U_{H}$满足$U_{H}=k\frac {I_{H}B}{d}$,式中k为霍尔系数,与霍尔元件的材料有关,d为霍尔元件沿磁场方向上的厚度,霍尔元件的电阻可以忽略不计,则下列说法不正确的是

A.霍尔元件前表面的电势比后表面的高
B.若电源的正、负极对调,电压表指针偏转方向不变
C.通过霍尔元件的电流$I_{H}$与线圈中电流I成反比
D.电压表的示数与线圈中电流I的平方成正比
A.霍尔元件前表面的电势比后表面的高
B.若电源的正、负极对调,电压表指针偏转方向不变
C.通过霍尔元件的电流$I_{H}$与线圈中电流I成反比
D.电压表的示数与线圈中电流I的平方成正比
答案:
2.C [由左手定则可知,电子受洛伦兹力方向指向后表面,电子向后表面集聚,则霍尔元件表面的电势比后表面的高,选项A正确;若电源的正、负极对调,通过霍尔元件的电流方向和磁场方向都反向,则电子所受洛伦兹力方向不变,产生的霍尔电压方向不变,则电压表指针偏转方向不变,选项B正确;霍尔元件与电阻R串联后与电阻$R_{L}$并联,总电流为I,根据并联电路的分流关系可知,通过霍尔元件的电流$I_{H}$与线圈中电流I成正比,选项C错误;电压表的示数等于霍尔电压$U_{H}=k\frac{I_{H}B}{d}$,式中电流$I_{H}$与线圈中电流I成正比,磁感应强度大小B与I成正比,则电压表的示数与线圈中电流I的平方成正比,选项D正确。]
3. 磁体在弹簧的作用下置于粗糙的斜面上,极性如图所示,在磁体的中垂线某一位置放置一根通电导线。电流方向垂直于纸面向外,目前弹簧处于压缩状态,磁体保持静止,则下列说法正确的是

A.磁体受到的导线的力垂直于斜面向下
B.若增大通电导线的电流,则磁体与斜面间的摩擦力就会增加
C.若撤去通电导线,磁体会沿斜面向下运动
D.若通电导线沿磁体的中垂线远离磁体,磁体受到的摩擦力不变
A.磁体受到的导线的力垂直于斜面向下
B.若增大通电导线的电流,则磁体与斜面间的摩擦力就会增加
C.若撤去通电导线,磁体会沿斜面向下运动
D.若通电导线沿磁体的中垂线远离磁体,磁体受到的摩擦力不变
答案:
3.D [由左手定则可知,导线受到的力垂直于斜面向下,由牛顿第三定律知,磁体受到的力垂直于斜面向上,A错误;若增大通电导线的电流,则磁体与斜面间的压力减小,如果磁体静止则摩擦力不变,如果磁体向下运动了,则摩擦力减小,B错误;若撤去通电导线,磁体对斜面的压力变大,最大静摩擦力增大,磁体不会沿斜面向下运动,C错误;若通电导线沿磁体的中垂线远离磁体,磁体对斜面的压力增大,最大静摩擦力增大,磁体不动,受到的摩擦力不变,D正确。]
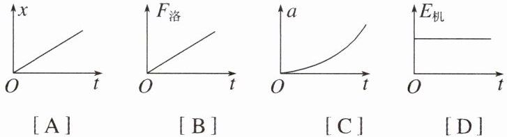
4. (2024·浙江三锋联盟高二期中)如图所示,整个空间存在一水平向右的匀强电场和垂直纸面向外的匀强磁场,光滑绝缘斜面固定在水平面上。一带正电滑块从斜面顶端由静止下滑,下滑过程中始终没有离开斜面,下滑过程中滑块的位移x、受到的洛伦兹力力$F_{洛}$、加速度a与机械能$E_{机}$等物理量的大小随时间变化的图线可能正确的是


答案:
4.B [滑块下滑过程中始终没有离开斜面,滑块沿斜面受到的重力分力和静电力分力均保持不变,滑块做匀加速直线运动,则$a - t$图像为一条与横轴平行的直线。根据$x - t$图像的斜率表示速度,可知$x - t$图像的斜率逐渐增大,故A、C错误;由于滑块由静止做匀加速直线运动,则有$F_{洛}=qvB=qBat\propto t$,可知$F_{洛}-t$图像为过原点的倾斜直线,故B正确;除重力做功外,还有静电力做功,则滑块的机械能不守恒,故D错误。]
5. (2025·浙南名校高二期中)如图所示,在马蹄形磁铁内部放置盛有导电液的玻璃皿,玻璃皿中央电极接电源负极,玻璃皿内贴着玻璃壁放置一圆环电极接电源正极,若磁感应强度$B=0.02T$,玻璃皿的直径$D=0.1m$,电源的电动势E(未知),内阻$r=0.1Ω$,电阻$R_{1}=0.4Ω,R_{2}=6Ω$,正负电极间导电液的等效电阻$R=0.8Ω$,闭合开关,液体转动稳定时电压表的示数为4.2V,电流表的示数为0.5A,则下列说法正确的是

A.液体按顺时针转动(俯视看)
B.电源的电动势$E=4.5V$
C.1分钟内液体产生的热量是30J
D.液体转动的机械功率为2.5W
A.液体按顺时针转动(俯视看)
B.电源的电动势$E=4.5V$
C.1分钟内液体产生的热量是30J
D.液体转动的机械功率为2.5W
答案:
5.BD [通过液体的电流由玻璃皿边缘流向中心,玻璃皿所在处的磁场竖直向上,由左手定则可知,导电液体受到的磁场力沿逆时针方向,因此液体沿逆时针方向旋转(俯视看),故A错误;$R_{2}$的电压为$U_{2}=I_{2}R_{2}=3V$,流过电阻$R_{1}$的电流为$I=\frac{U - U_{2}}{R_{1}}=3A$,则电源的电动势为$E=U + Ir=4.5V$,故B正确;流过液体的电流为$I_{R}=I - I_{2}=2.5A$,1分钟内液体产生的热量是$Q=I_{R}^{2}Rt=300J$,故C错误;液体转动的机械功率为$P_{机}=U_{2}I_{R}-I_{R}^{2}R=2.5W$,故D正确。]
查看更多完整答案,请扫码查看