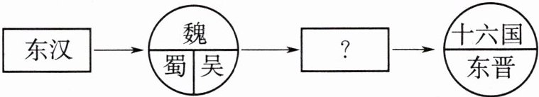
1. 在历史学习过程中,某学生绘制了如下政权更迭图,图中“?”处的朝代是( )。

A.秦朝
B.西汉
C.东汉
D.西晋
A.秦朝
B.西汉
C.东汉
D.西晋
答案:
D
2. 《史记》记述了从传说中的黄帝到汉武帝时的史事,《资治通鉴》记述了从公元前403年到959年之间的史事。下列史事只能在《资治通鉴》中查阅到的是( )。
A.秦朝建立
B.文景之治
C.推恩
D.西晋统一
A.秦朝建立
B.文景之治
C.推恩
D.西晋统一
答案:
D
3. 西晋鲁褒作《钱神论》讥讽道:“(钱)谓为神物,无德而尊,无势而热,排金门而入紫闼。危可使安、死可使活,贵可使贱,生可使杀……凡今之人,惟钱而已。”这说明西晋的社会风气是( )。
A.唯利是图,生活腐化
B.贵族当权,轻视功名
C.注重门第,鄙视富贵
D.能力至上,不计名利
A.唯利是图,生活腐化
B.贵族当权,轻视功名
C.注重门第,鄙视富贵
D.能力至上,不计名利
答案:
A
4. “三川北虏乱如麻,四海南奔似永嘉。”这两句诗描写了北方人南迁的情况。从诗句中我们可以看出,西晋时期北方各族内迁的原因是( )。
A.南方气候优于北方
B.北方战乱频繁
C.北方统治者实行移民政策
D.南方经济发展需要北方的劳动力
A.南方气候优于北方
B.北方战乱频繁
C.北方统治者实行移民政策
D.南方经济发展需要北方的劳动力
答案:
B
5. 成语“乱七八糟”和两个历史事件有关。“乱七”指西汉景帝时的“七国之乱”,“八糟”指晋惠帝时的“八王之乱”。“八王之乱”的影响是( )。
A.战乱在洛阳一带展开
B.战乱历时十几年
C.西晋从此衰落
D.战乱引起了内迁各族人民的反抗
A.战乱在洛阳一带展开
B.战乱历时十几年
C.西晋从此衰落
D.战乱引起了内迁各族人民的反抗
答案:
C
6. 东汉、魏、晋时期,原来生活在西北地区的氐人和羌人,迁入关中地区;分布在漠北地区和西北地区的匈奴人和羯人,迁到汾河流域一带;而鲜卑人有一部分迁到辽河流域南部,另一部分迁到河套、河西走廊及河湟一带。上述材料反映了( )。
A.南方各民族的大交融
B.北方各民族不断内迁
C.第一次人口迁徙高潮
D.少数民族反抗西晋
A.南方各民族的大交融
B.北方各民族不断内迁
C.第一次人口迁徙高潮
D.少数民族反抗西晋
答案:
B
7. 西晋时,洛阳贵族官僚争用胡床、方凳等北方游牧民族的坐具。对这一现象解读最准确的是( )。
A.内迁各族的文化习俗影响了洛阳贵族官僚
B.洛阳贵族官僚生活俭朴
C.北方游牧民族作战勇敢
D.洛阳贵族官僚盲目攀比,以豪华奢侈为荣
A.内迁各族的文化习俗影响了洛阳贵族官僚
B.洛阳贵族官僚生活俭朴
C.北方游牧民族作战勇敢
D.洛阳贵族官僚盲目攀比,以豪华奢侈为荣
答案:
A
查看更多完整答案,请扫码查看