2025年暑假训练营学年总复习八年级数学北师大版希望出版社
注:目前有些书本章节名称可能整理的还不是很完善,但都是按照顺序排列的,请同学们按照顺序仔细查找。练习册 2025年暑假训练营学年总复习八年级数学北师大版希望出版社 答案主要是用来给同学们做完题方便对答案用的,请勿直接抄袭。
第65页
- 第1页
- 第2页
- 第3页
- 第4页
- 第5页
- 第6页
- 第7页
- 第8页
- 第9页
- 第10页
- 第11页
- 第12页
- 第13页
- 第14页
- 第15页
- 第16页
- 第17页
- 第18页
- 第19页
- 第20页
- 第21页
- 第22页
- 第23页
- 第24页
- 第25页
- 第26页
- 第27页
- 第28页
- 第29页
- 第30页
- 第31页
- 第32页
- 第33页
- 第34页
- 第35页
- 第36页
- 第37页
- 第38页
- 第39页
- 第40页
- 第41页
- 第42页
- 第43页
- 第44页
- 第45页
- 第46页
- 第47页
- 第48页
- 第49页
- 第50页
- 第51页
- 第52页
- 第53页
- 第54页
- 第55页
- 第56页
- 第57页
- 第58页
- 第59页
- 第60页
- 第61页
- 第62页
- 第63页
- 第64页
- 第65页
- 第66页
- 第67页
- 第68页
- 第69页
- 第70页
- 第71页
- 第72页
- 第73页
- 第74页
9.(淮安中考)若关于x,y的二元一次方程$3x-ay= 1有一个解是\left\{\begin{array}{l} x= 3,\\ y= 2,\end{array} \right. 则a= $
4
.
答案:
4
10.(宁波中考)已知x,y满足方程组$\left\{\begin{array}{l} x-2y= 5,\\ x+2y= -3,\end{array} \right. 则x^{2}-4y^{2}$的值为
-15
.
答案:
-15
11.(自贡中考)六一儿童节,某幼儿园用100元钱给小朋友买了甲、乙两种不同的玩具共30个,单价分别是2元和4元,则该幼儿园购买了甲、乙两种玩具分别为
10
、20
个.
答案:
10、20
12.(天门中考)某公司积极开展“爱心扶贫”的公益活动,现准备将6 000件生活物资发往A,B两个贫困地区,其中发往A区的物资比B区的物资的1.5倍少1 000件,则发往A区的生活物资为__
3 200
__件.
答案:
3 200
13.(江西中考)中国的《九章算术》是世界现代数学的两大源泉之一,其中有一问题:“今有牛五、羊二,直金十两. 牛二、羊五,直金八两. 问牛羊各直金几何?”译文:今有牛5头,羊2头,共值金10两;牛2头,羊5头,共值金8两. 问牛、羊每头各值金多少?设牛、羊每头各值金x两、y两,依题意,可列出方程组为____
$\begin{cases}5x + 2y = 10, \\ 2x + 5y = 8\end{cases}$
.
答案:
$\begin{cases}5x + 2y = 10, \\ 2x + 5y = 8\end{cases}$
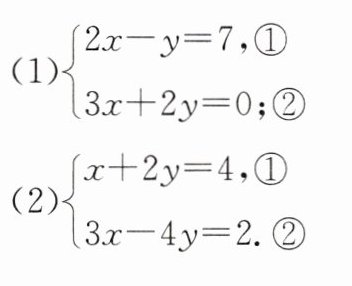
14.(6分)解方程组:

(1) 方程组的解为
(2) 方程组的解为
(1) 方程组的解为
$\begin{cases}x = 2, \\ y = -3\end{cases}$
(2) 方程组的解为
$\begin{cases}x = 2, \\ y = 1\end{cases}$
答案:
(1) $\begin{cases}x = 2, \\ y = -3\end{cases}$
(2) $\begin{cases}x = 2, \\ y = 1\end{cases}$
(1) $\begin{cases}x = 2, \\ y = -3\end{cases}$
(2) $\begin{cases}x = 2, \\ y = 1\end{cases}$
15.(9分)已知直线$y= 2x-4与y= 5-x$.
(1)在同一坐标系中画出它们的图象;
(2)求出它们交点A的坐标;
(3)求出这两条直线与y轴围成的三角形的面积.
(1)在同一坐标系中画出它们的图象;
(2)求出它们交点A的坐标;
(3)求出这两条直线与y轴围成的三角形的面积.
答案:
解:
(1)如图.
(2)
∵点A同时在两条直线上,
∴点A坐标就是方程组$\begin{cases}y = 2x - 4, \\ y = 5 - x\end{cases}$的解. 解方程组,得$\begin{cases}x = 3, \\ y = 2.\end{cases}$
∴点A的坐标为(3,2).
(3)由图可知BC = 9. 两条直线与y轴围成的三角形的面积$S_{\triangle ABC} = \frac{1}{2}BC \cdot x_A = \frac{1}{2}×9×3 = \frac{27}{2}$.

解:
(1)如图.
(2)
∵点A同时在两条直线上,
∴点A坐标就是方程组$\begin{cases}y = 2x - 4, \\ y = 5 - x\end{cases}$的解. 解方程组,得$\begin{cases}x = 3, \\ y = 2.\end{cases}$
∴点A的坐标为(3,2).
(3)由图可知BC = 9. 两条直线与y轴围成的三角形的面积$S_{\triangle ABC} = \frac{1}{2}BC \cdot x_A = \frac{1}{2}×9×3 = \frac{27}{2}$.
16.(8分)(舟山中考)用消元法解方程组$\left\{ \begin{array} { l } { x - 3 y = 5 , \textcircled { 1 } } \\ { 4 x - 3 y = 2 \textcircled { 2 } } \end{array} \right.$ 时,两位同学的解法如下:
解法一:由①-②,得$3x= 3$.
解法二:由②,得$3x+(x-3y)= 2$. ③
把①代入③,得$3x+5= 2$.
(1)反思:上述两个解题过程中有无计算错误?若有误,请在错误处打“×”;
解法一中的解题过程有错误,由① - ②,得-3x = 3,标记如下:
解法一:由① - ②,得$3x = 3$.
(2)请选择一种你喜欢的方法,完成解答.
解:由① - ②,得-3x = 3,解得x = -1. 把x = -1代入①,得-1 - 3y = 5. 解得y = -2. ∴原方程组的解是
解法一:由①-②,得$3x= 3$.
解法二:由②,得$3x+(x-3y)= 2$. ③
把①代入③,得$3x+5= 2$.
(1)反思:上述两个解题过程中有无计算错误?若有误,请在错误处打“×”;
解法一中的解题过程有错误,由① - ②,得-3x = 3,标记如下:
解法一:由① - ②,得$3x = 3$.
×
(2)请选择一种你喜欢的方法,完成解答.
解:由① - ②,得-3x = 3,解得x = -1. 把x = -1代入①,得-1 - 3y = 5. 解得y = -2. ∴原方程组的解是
$\begin{cases}x = -1, \\ y = -2.\end{cases}$
答案:
解:
(1)解法一中的解题过程有错误,由① - ②,得-3x = 3,标记如下:
解法一:由① - ②,得3x = 3. ×
(2)由① - ②,得-3x = 3,解得x = -1. 把x = -1代入①,得-1 - 3y = 5. 解得y = -2.
∴原方程组的解是$\begin{cases}x = -1, \\ y = -2.\end{cases}$
(1)解法一中的解题过程有错误,由① - ②,得-3x = 3,标记如下:
解法一:由① - ②,得3x = 3. ×
(2)由① - ②,得-3x = 3,解得x = -1. 把x = -1代入①,得-1 - 3y = 5. 解得y = -2.
∴原方程组的解是$\begin{cases}x = -1, \\ y = -2.\end{cases}$
查看更多完整答案,请扫码查看