2025年暑假训练营学年总复习八年级数学北师大版希望出版社
注:目前有些书本章节名称可能整理的还不是很完善,但都是按照顺序排列的,请同学们按照顺序仔细查找。练习册 2025年暑假训练营学年总复习八年级数学北师大版希望出版社 答案主要是用来给同学们做完题方便对答案用的,请勿直接抄袭。
第40页
- 第1页
- 第2页
- 第3页
- 第4页
- 第5页
- 第6页
- 第7页
- 第8页
- 第9页
- 第10页
- 第11页
- 第12页
- 第13页
- 第14页
- 第15页
- 第16页
- 第17页
- 第18页
- 第19页
- 第20页
- 第21页
- 第22页
- 第23页
- 第24页
- 第25页
- 第26页
- 第27页
- 第28页
- 第29页
- 第30页
- 第31页
- 第32页
- 第33页
- 第34页
- 第35页
- 第36页
- 第37页
- 第38页
- 第39页
- 第40页
- 第41页
- 第42页
- 第43页
- 第44页
- 第45页
- 第46页
- 第47页
- 第48页
- 第49页
- 第50页
- 第51页
- 第52页
- 第53页
- 第54页
- 第55页
- 第56页
- 第57页
- 第58页
- 第59页
- 第60页
- 第61页
- 第62页
- 第63页
- 第64页
- 第65页
- 第66页
- 第67页
- 第68页
- 第69页
- 第70页
- 第71页
- 第72页
- 第73页
- 第74页
1. 若分式$\frac {x-3}{x+3}$的值为0,则x的值为(
A.3
B.-3
C.3或-3
D.0
A
)A.3
B.-3
C.3或-3
D.0
答案:
1. A
2. 下列运算错误的是(
A.$\frac {(a-b)^{2}}{(b-a)^{2}}= 1$
B.$\frac {-a-b}{a+b}= -1$
C.$\frac {0.5a+b}{0.2a-0.3b}= \frac {5a+10b}{2a-3b}$
D.$\frac {a-b}{a+b}= \frac {b-a}{b+a}$
D
)A.$\frac {(a-b)^{2}}{(b-a)^{2}}= 1$
B.$\frac {-a-b}{a+b}= -1$
C.$\frac {0.5a+b}{0.2a-0.3b}= \frac {5a+10b}{2a-3b}$
D.$\frac {a-b}{a+b}= \frac {b-a}{b+a}$
答案:
2. D
3. 要使式子$\frac {1}{x-3}= \frac {x+2}{x^{2}-x-6}$从左到右的变形成立,x应满足的条件是(
A.$x>-2$
B.$x= -2$
C.$x<-2$
D.$x≠-2$
D
)A.$x>-2$
B.$x= -2$
C.$x<-2$
D.$x≠-2$
答案:
3. D
4. 分式方程$\frac {x+1}{x}+\frac {1}{x-2}= 1$的解是(
A.$x= 1$
B.$x= -1$
C.$x= 3$
D.$x= -3$
A
)A.$x= 1$
B.$x= -1$
C.$x= 3$
D.$x= -3$
答案:
4. A
5. 已知关于x的分式方程$\frac {m-2}{x+1}= 1$的解是负数,则m的取值范围是(
A.$m≤3$
B.$m≤3且m≠2$
C.$m<3$
D.$m<3且m≠2$
D
)A.$m≤3$
B.$m≤3且m≠2$
C.$m<3$
D.$m<3且m≠2$
答案:
5. D
已知$\frac {1}{x}-\frac {1}{y}= 3$,则代数式$\frac {2x+3xy-2y}{x-xy-y}$的值是(
A.$-\frac {7}{2}$
B.$-\frac {11}{2}$
C.$\frac {9}{2}$
D.$\frac {3}{4}$
D
)A.$-\frac {7}{2}$
B.$-\frac {11}{2}$
C.$\frac {9}{2}$
D.$\frac {3}{4}$
答案:
6. D
7. 已知$1<x<2$,则式子$\frac {x-2}{|x-2|}-\frac {|x-1|}{x-1}+\frac {|x|}{x}$化简的结果是(
A.-1
B.1
C.2
D.3
A
)A.-1
B.1
C.2
D.3
答案:
7. A
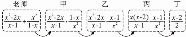
8. 在数学活动课上,老师设计了接力游戏,用合作的方式完成分式化简. 规则是:每人只能看到前一人给的式子,并进行一步计算,再将结果传递给下一人,最后完成化简. 过程如图所示:

接力中,自己负责的一步出现错误的是(
A.只有乙
B.甲和丁
C.乙和丙
D.乙和丁
接力中,自己负责的一步出现错误的是(
D
)A.只有乙
B.甲和丁
C.乙和丙
D.乙和丁
答案:
8. D
9. 已知$x+y= 4\sqrt {3},x-y= \sqrt {3}$,则式子$(x-y+\frac {4xy}{x-y})(x+y-\frac {4xy}{x+y})$的值是(
A.48
B.$12\sqrt {3}$
C.16
D.12
D
)A.48
B.$12\sqrt {3}$
C.16
D.12
答案:
9. D
10. 某工厂新引进一批电子产品,甲工人比乙工人每小时多搬运30件电子产品,已知甲工人搬运300件电子产品所用的时间与乙工人搬运200件电子产品所用的时间相同. 若设乙工人每小时搬运x件电子产品,可列方程为(
A.$\frac {300}{x}= \frac {200}{x+30}$
B.$\frac {300}{x-30}= \frac {200}{x}$
C.$\frac {300}{x+30}= \frac {200}{x}$
D.$\frac {300}{x}= \frac {200}{x-30}$
C
)A.$\frac {300}{x}= \frac {200}{x+30}$
B.$\frac {300}{x-30}= \frac {200}{x}$
C.$\frac {300}{x+30}= \frac {200}{x}$
D.$\frac {300}{x}= \frac {200}{x-30}$
答案:
10. C
11. 若分式$\frac {5}{x-3}$有意义,则实数x的取值范围是
$ x \neq 3 $
.
答案:
11. $ x \neq 3 $
12. 计算:$\frac {x^{2}}{x+1}-\frac {1}{x+1}= $
$ x - 1 $
.
答案:
12. $ x - 1 $
13. 若分式$\frac {2}{x+1}$的值不存在,则x的值为
-1
.
答案:
13. $ -1 $
查看更多完整答案,请扫码查看