第12页
- 第1页
- 第2页
- 第3页
- 第4页
- 第5页
- 第6页
- 第7页
- 第8页
- 第9页
- 第10页
- 第11页
- 第12页
- 第13页
- 第14页
- 第15页
- 第16页
- 第17页
- 第18页
- 第19页
- 第20页
- 第21页
- 第22页
- 第23页
- 第24页
- 第25页
- 第26页
- 第27页
- 第28页
- 第29页
- 第30页
- 第31页
- 第32页
- 第33页
- 第34页
- 第35页
- 第36页
- 第37页
- 第38页
- 第39页
- 第40页
- 第41页
- 第42页
- 第43页
- 第44页
- 第45页
- 第46页
- 第47页
- 第48页
- 第49页
- 第50页
- 第51页
- 第52页
- 第53页
- 第54页
- 第55页
- 第56页
- 第57页
- 第58页
- 第59页
- 第60页
- 第61页
- 第62页
- 第63页
- 第64页
- 第65页
- 第66页
- 第67页
- 第68页
- 第69页
- 第70页
- 第71页
- 第72页
- 第73页
- 第74页
- 第75页
- 第76页
- 第77页
- 第78页
- 第79页
- 第80页
- 第81页
- 第82页
- 第83页
- 第84页
- 第85页
1 探寻原子的结构。
(1)人类从未停止探索微观世界的脚步。19世纪以前,人们一直认为原子是不可分的。1897年,科学家
A. 汤姆孙
B. 道尔顿
C. 卢瑟福
(2)1911年,科学家进行了α粒子轰击金箔实验,用带正电、质量比电子大得多的高速α粒子轰击金箔。
实验结果却出乎意料:绝大多数α粒子穿过金箔后仍沿原来的方向前进,只有少数的α粒子发生了较大的偏转,并且有极少数的α粒子被反弹了回来。
科学家们分析实验现象认为原子中存在一个“很小的结构”,这个“很小的结构”叫

(1)人类从未停止探索微观世界的脚步。19世纪以前,人们一直认为原子是不可分的。1897年,科学家
A
(填序号)提出了原子的“葡萄干布丁”模型。A. 汤姆孙
B. 道尔顿
C. 卢瑟福
(2)1911年,科学家进行了α粒子轰击金箔实验,用带正电、质量比电子大得多的高速α粒子轰击金箔。
实验结果却出乎意料:绝大多数α粒子穿过金箔后仍沿原来的方向前进,只有少数的α粒子发生了较大的偏转,并且有极少数的α粒子被反弹了回来。
科学家们分析实验现象认为原子中存在一个“很小的结构”,这个“很小的结构”叫
原子核
。
答案:
1.
(1)A
(2)原子核
[解析]
(1)1897年,汤姆孙提出了原子的“葡萄干布丁”模型。
(2)原子核集中了原子的大部分质量,且体积很小,“很小的结构”指的是原子核。
(1)A
(2)原子核
[解析]
(1)1897年,汤姆孙提出了原子的“葡萄干布丁”模型。
(2)原子核集中了原子的大部分质量,且体积很小,“很小的结构”指的是原子核。
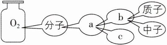
2 [2025山东东营期末]知识梳理有助于我们对已学知识进行巩固,如图是某同学学习物质构成的奥秘后以氧气为例进行的梳理;下列选项中与a、c相对应的是( )

A.原子核、核外电子
B.原子、核外电子
C.原子、原子核
D.核外电子、原子
B
A.原子核、核外电子
B.原子、核外电子
C.原子、原子核
D.核外电子、原子
答案:
2.B [解析]分子是由原子构成的,故a是原子,原子是由原子核和核外电子构成的,原子核是由质子和中子构成的,故b是原子核,c是核外电子。故选B。
3 [2024江西赣州一模]2024年2月,我国科学家发现并申报的新矿物铈钽易解石,获得国际矿物学协会新矿物命名及分类委员会批准通过。铈原子与钽原子的本质区别是(
A.质子数不同
B.中子数不同
C.电子数不同
D.原子大小不同
A
)A.质子数不同
B.中子数不同
C.电子数不同
D.原子大小不同
答案:
3.A [解析]不同种元素原子的质子数不同,铈原子与钽原子的本质区别是质子数不同。
4 [2024山东青岛二模]嫦娥六号带回的月壤中含有大量安全无污染的核聚变原料He-3(原子结构如图所示),下列关于He-3的说法正确的是(

A.He-3的中子数等于核外电子数
B.He-3原子中含有1个质子,2个核外电子
C.He-3原子中含有3个质子,没有中子
D.He-3原子中含有2个质子、1个中子和2个核外电子
D
)A.He-3的中子数等于核外电子数
B.He-3原子中含有1个质子,2个核外电子
C.He-3原子中含有3个质子,没有中子
D.He-3原子中含有2个质子、1个中子和2个核外电子
答案:
4.D [解析]由题图可知,He - 3原子中含有2个质子、1个中子,原子核外有2个电子,中子数和电子数不相等,A、B、C错误,D正确。
5 在学完“原子的构成”后,小敏幻想自己变成一个精灵,进入原子的内部遨游,写了如下的一篇游记。
原子奇遇记
当我进入铝原子后,我发现①原子是由原子核与核外电子构成的;②原子核的质量和电子的质量差不多;③与原子相比,原子核的体积竟然那么小;④核外13个电子围绕着原子核按固定的轨道慢慢地运动着;⑤……
(1)这篇游记中,对原子结构的描述错误的是
(2)如果你是小敏,请继续正确描述原子结构的第⑤点:
原子奇遇记
当我进入铝原子后,我发现①原子是由原子核与核外电子构成的;②原子核的质量和电子的质量差不多;③与原子相比,原子核的体积竟然那么小;④核外13个电子围绕着原子核按固定的轨道慢慢地运动着;⑤……
(1)这篇游记中,对原子结构的描述错误的是
②④
(填序号)。(2)如果你是小敏,请继续正确描述原子结构的第⑤点:
原子核中含有质子(合理即可)
。
答案:
5.
(1)②④
(2)原子核中含有质子(合理即可)
[解析]
(1)原子都是由原子核与核外电子构成的;原子核的质量比电子的质量大很多;与原子相比,原子核的体积非常小;核外电子围绕原子核作高速无规则运动,所以②与④说法错误。
(2)原子结构的第⑤点可以是原子核中含有质子、原子不显电性等。
(1)②④
(2)原子核中含有质子(合理即可)
[解析]
(1)原子都是由原子核与核外电子构成的;原子核的质量比电子的质量大很多;与原子相比,原子核的体积非常小;核外电子围绕原子核作高速无规则运动,所以②与④说法错误。
(2)原子结构的第⑤点可以是原子核中含有质子、原子不显电性等。
6 [2024山东枣庄质检]下列关于原子的叙述中,正确的是(
A.原子的质量主要集中在原子核上
B.原子中质子数一定等于中子数
C.原子一定由质子、中子、电子三种微粒构成
D.原子核带正电,核外电子带负电,因此原子是显电性的
A
)A.原子的质量主要集中在原子核上
B.原子中质子数一定等于中子数
C.原子一定由质子、中子、电子三种微粒构成
D.原子核带正电,核外电子带负电,因此原子是显电性的
答案:
6.A [解析]原子是由原子核与核外电子构成的,电子的质量很小,原子的质量主要集中在原子核上,A正确;在原子中,质子数 = 核外电子数,但中子数不一定等于质子数,B错误;有的氢原子的原子核内只有质子,没有中子,C错误;原子核和电子所带的电量相等,但电性相反,所以整个原子不显电性,D错误。
查看更多完整答案,请扫码查看