第42页
- 第1页
- 第2页
- 第3页
- 第4页
- 第5页
- 第6页
- 第7页
- 第8页
- 第9页
- 第10页
- 第11页
- 第12页
- 第13页
- 第14页
- 第15页
- 第16页
- 第17页
- 第18页
- 第19页
- 第20页
- 第21页
- 第22页
- 第23页
- 第24页
- 第25页
- 第26页
- 第27页
- 第28页
- 第29页
- 第30页
- 第31页
- 第32页
- 第33页
- 第34页
- 第35页
- 第36页
- 第37页
- 第38页
- 第39页
- 第40页
- 第41页
- 第42页
- 第43页
- 第44页
- 第45页
- 第46页
- 第47页
- 第48页
- 第49页
- 第50页
- 第51页
- 第52页
- 第53页
- 第54页
- 第55页
- 第56页
- 第57页
- 第58页
- 第59页
- 第60页
- 第61页
- 第62页
- 第63页
- 第64页
- 第65页
- 第66页
- 第67页
- 第68页
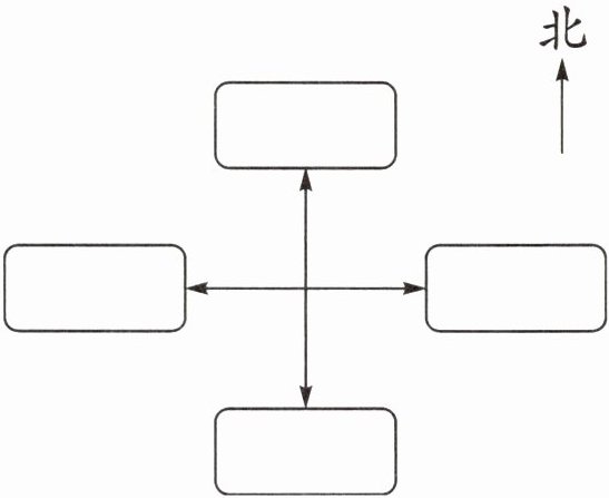
1. 传统文化 星空划分 在中国古代,将星空划分为“三垣”和“四象”,“四象”是指东青龙、西白虎、南朱雀、北玄武。请根据描述,填一填“四象”的位置。

答案:
[提示]根据“上北下南,左西右东”填空即可。
[提示]根据“上北下南,左西右东”填空即可。
2. 填一填。
(1)早晨,太阳从东方升起。当你面对太阳时,前面是
(2)小红上学时从家出发朝西走到学校,她放学时应该朝
(1)早晨,太阳从东方升起。当你面对太阳时,前面是
东
,后面是西
,左边是北
,右边是南
。(2)小红上学时从家出发朝西走到学校,她放学时应该朝
东
走回家。
答案:
(1)东 西 北 南 [提示]早晨面对太阳时,说明面向东,后面就是西,左边是北,右边是南。
(2)东 [提示]从家出发朝西走到学校,放学就是朝西的反方向走,即朝东走回家。
(1)东 西 北 南 [提示]早晨面对太阳时,说明面向东,后面就是西,左边是北,右边是南。
(2)东 [提示]从家出发朝西走到学校,放学就是朝西的反方向走,即朝东走回家。
3. 四个小朋友分别站在东、西、南、北4个不同的方向做游戏,你知道他们的位置吗?

南
西
东
答案:
南 西 东 [提示]北面的对面是南面,东面的对面是西面。
4. 小马、小狗、小猫和小鹿分别住在相邻的四栋房子里。小马住在小狗的东面且与小狗相邻,小猫和小鹿不相邻,小鹿不住在小猫的东面。它们分别住在哪个房子里呢?

答案:
①小鹿 ②小狗 ③小马 ④小猫
[提示]由图可知,方向是上北下南,左西右东。小马住在小狗的东面且与小狗相邻,所以小马家在小狗家的右边;小猫和小鹿不相邻,小鹿不住在小猫的东面,说明小猫在小鹿的右边且不相邻,由此可知①是小鹿家,②是小狗家,③是小马家,④是小猫家。
[提示]由图可知,方向是上北下南,左西右东。小马住在小狗的东面且与小狗相邻,所以小马家在小狗家的右边;小猫和小鹿不相邻,小鹿不住在小猫的东面,说明小猫在小鹿的右边且不相邻,由此可知①是小鹿家,②是小狗家,③是小马家,④是小猫家。
查看更多完整答案,请扫码查看