第53页
- 第1页
- 第2页
- 第3页
- 第4页
- 第5页
- 第6页
- 第7页
- 第8页
- 第9页
- 第10页
- 第11页
- 第12页
- 第13页
- 第14页
- 第15页
- 第16页
- 第17页
- 第18页
- 第19页
- 第20页
- 第21页
- 第22页
- 第23页
- 第24页
- 第25页
- 第26页
- 第27页
- 第28页
- 第29页
- 第30页
- 第31页
- 第32页
- 第33页
- 第34页
- 第35页
- 第36页
- 第37页
- 第38页
- 第39页
- 第40页
- 第41页
- 第42页
- 第43页
- 第44页
- 第45页
- 第46页
- 第47页
- 第48页
- 第49页
- 第50页
- 第51页
- 第52页
- 第53页
- 第54页
- 第55页
- 第56页
- 第57页
- 第58页
- 第59页
- 第60页
- 第61页
- 第62页
- 第63页
- 第64页
- 第65页
- 第66页
- 第67页
- 第68页
- 第69页
- 第70页
- 第71页
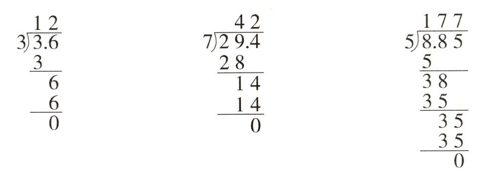
1.(算理理解)在下面各竖式的商中点上小数点。

答案:
1.



1.
2. 用竖式计算。
$12.8÷4= $
$37.5÷15= $
$53.2÷28= $
$12.8÷4= $
$37.5÷15= $
$53.2÷28= $
答案:
2. 3.2 2.5 1.9
3.(期末真题)用一根6.28米长的铁丝正好围成一个正方形,这个正方形的边长是多少米?
答案:
3. $ 6.28 \div 4 = 1.57 $(米)
4.(教材改编)买水果。

(1)每千克桃子多少元?
(2)每千克梨多少元?
(1)每千克桃子多少元?
(2)每千克梨多少元?
答案:
4.
(1)$ 52.8 \div 6 = 8.8 $(元)
(2)$ 37.5 \div 5 = 7.5 $(元)
(1)$ 52.8 \div 6 = 8.8 $(元)
(2)$ 37.5 \div 5 = 7.5 $(元)
5.(差倍问题)一个小数,把小数点向右移动一位,所得的数比原来大16.38。原来这个小数是多少?
答案:
$ 10 - 1 = 9 $ $ 16.38 \div 9 = 1.82 $
查看更多完整答案,请扫码查看