2025年新编高中同步作业高中生物选择性必修2人教版
注:目前有些书本章节名称可能整理的还不是很完善,但都是按照顺序排列的,请同学们按照顺序仔细查找。练习册 2025年新编高中同步作业高中生物选择性必修2人教版 答案主要是用来给同学们做完题方便对答案用的,请勿直接抄袭。
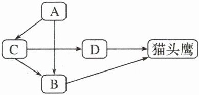
1. 下图为某生态系统的食物网简图,猫头鹰体重每增加1 kg,至少消耗A约 ( )

A. 100 kg
B. 44.5 kg
C. 25 kg
D. 15 kg
A. 100 kg
B. 44.5 kg
C. 25 kg
D. 15 kg
答案:
C@@解析:分析题图可知,图中有3条食物链,即A→B→猫头鹰、A→C→B→猫头鹰、A→C→D→猫头鹰。题中所求为猫头鹰体重每增加1kg,至少消耗的A的质量,已知高营养级的能量求最少所需低营养级能量时,选最短食物链(A→B→猫头鹰),能量传递效率按20%计算,则至少消耗A的质量为$1÷20\%÷20\% = 25(kg)$,C正确。
2. 下图为某生态系统中能量传递示意图,下列叙述错误的是 ( )

A. 能量流动是从甲固定太阳能开始的,流入该生态系统的总能量为1 250 kJ
B. 从乙到丙的能量传递效率为15%
C. 将乙和丙的粪便作为有机肥还田,可以提高能量传递效率
D. 食物链的营养关系一般不可逆转,这决定了能量流动的单向性
A. 能量流动是从甲固定太阳能开始的,流入该生态系统的总能量为1 250 kJ
B. 从乙到丙的能量传递效率为15%
C. 将乙和丙的粪便作为有机肥还田,可以提高能量传递效率
D. 食物链的营养关系一般不可逆转,这决定了能量流动的单向性
答案:
C@@解析:能量流动是从甲(生产者)固定太阳能开始的,流入该生态系统的总能量为$175 + 200 + 875 = 1250(kJ)$,A正确;从乙到丙的能量传递效率为$30÷200×100\% = 15\%$,B正确;将乙和丙的粪便作为有机肥还田,可以提高能量的利用率,但不能提高能量的传递效率,C错误;食物链的营养关系是长期自然选择的结果,一般不可逆转,因此能量流动是单向的,D正确。
3. 生态果园与传统果园最大的区别是增加了果园中生物的种类,例如利用果树下光照强度弱、空气湿度高、风速低等环境条件,在两行果树间种植喜湿、喜温、喜半阴的草菇(一种食用菌),或种植草,还可以向果园中引入鸡、鸭等动物,甚至可以在果园中养殖蚯蚓,以此提高果园的稳定性。下列叙述正确的是 ( )
A. 光能输入果树—草菇园的途径是果树和草菇等生产者的光合作用
B. 在果园中养殖鸡、鸭时,鸡、鸭粪便中的能量可以被果树利用
C. 果树种植过程需要治虫,目的是使能量多级利用
D. 果树固定的太阳能,一部分在呼吸作用中散失,一部分用于自身生长、发育和繁殖
A. 光能输入果树—草菇园的途径是果树和草菇等生产者的光合作用
B. 在果园中养殖鸡、鸭时,鸡、鸭粪便中的能量可以被果树利用
C. 果树种植过程需要治虫,目的是使能量多级利用
D. 果树固定的太阳能,一部分在呼吸作用中散失,一部分用于自身生长、发育和繁殖
答案:
D@@解析:草菇是一种食用菌,属于分解者,不能进行光合作用,A错误;鸡、鸭粪便中的有机物被分解者分解成无机物后,可以被果树利用,粪便中的能量最终以热能的形式散失,不能被果树利用,B错误;果树种植过程需要治虫,目的是使能量更多地流向对人类有益的部分——果实,C错误;果树固定的太阳能,一部分在呼吸作用中散失,一部分用于自身生长、发育和繁殖,D正确。
4. 图1为某池塘生态系统的能量金字塔简图,其中Ⅰ、Ⅱ、Ⅲ、Ⅳ分别代表不同的营养级,m₁、m₂代表不同的能量形式。图2为能量流经该生态系统某一营养级的变化示意图,其中a~g表示能量值的多少。请据图回答问题:

- (1)图2中,若A表示图1中营养级Ⅱ所摄入的全部能量,则B表示营养级Ⅱ同化的能量,C表示______________________________。若图1中营养级Ⅰ所固定的太阳能总量为y,营养级Ⅰ、Ⅱ间的能量传递效率是____________________(用图中所给字母的表达式表示)。
- (2)若图1中营养级Ⅰ、Ⅱ、Ⅲ各有一种生物甲、乙、丙,构成的食物关系如图3所示。其中甲能量中比例为x的部分直接提供给丙,要使丙能量增加A kJ,至少需要消耗甲的能量是__________ kJ。
- (3)除图1中所示的生物类群外,该生态系统的生物组成成分还应有__________才能保证其物质循环的正常进行。
- (1)图2中,若A表示图1中营养级Ⅱ所摄入的全部能量,则B表示营养级Ⅱ同化的能量,C表示______________________________。若图1中营养级Ⅰ所固定的太阳能总量为y,营养级Ⅰ、Ⅱ间的能量传递效率是____________________(用图中所给字母的表达式表示)。
- (2)若图1中营养级Ⅰ、Ⅱ、Ⅲ各有一种生物甲、乙、丙,构成的食物关系如图3所示。其中甲能量中比例为x的部分直接提供给丙,要使丙能量增加A kJ,至少需要消耗甲的能量是__________ kJ。
- (3)除图1中所示的生物类群外,该生态系统的生物组成成分还应有__________才能保证其物质循环的正常进行。
答案:
营养级Ⅱ用于生长、发育和繁殖的能量@@$b/y×100\%$@@$25A/(1 + 4x)$@@分解者
查看更多完整答案,请扫码查看