2026年突唯中考中考总复习九年级化学全一册通用版河南专版
注:目前有些书本章节名称可能整理的还不是很完善,但都是按照顺序排列的,请同学们按照顺序仔细查找。练习册 2026年突唯中考中考总复习九年级化学全一册通用版河南专版 答案主要是用来给同学们做完题方便对答案用的,请勿直接抄袭。
第59页
- 第1页
- 第2页
- 第3页
- 第4页
- 第5页
- 第6页
- 第7页
- 第8页
- 第9页
- 第10页
- 第11页
- 第12页
- 第13页
- 第14页
- 第15页
- 第16页
- 第17页
- 第18页
- 第19页
- 第20页
- 第21页
- 第22页
- 第23页
- 第24页
- 第25页
- 第26页
- 第27页
- 第28页
- 第29页
- 第30页
- 第31页
- 第32页
- 第33页
- 第34页
- 第35页
- 第36页
- 第37页
- 第38页
- 第39页
- 第40页
- 第41页
- 第42页
- 第43页
- 第44页
- 第45页
- 第46页
- 第47页
- 第48页
- 第49页
- 第50页
- 第51页
- 第52页
- 第53页
- 第54页
- 第55页
- 第56页
- 第57页
- 第58页
- 第59页
- 第60页
- 第61页
- 第62页
- 第63页
- 第64页
- 第65页
- 第66页
- 第67页
- 第68页
- 第69页
- 第70页
- 第71页
- 第72页
- 第73页
- 第74页
- 第75页
- 第76页
- 第77页
- 第78页
- 第79页
- 第80页
- 第81页
- 第82页
- 第83页
- 第84页
- 第85页
- 第86页
- 第87页
- 第88页
- 第89页
- 第90页
- 第91页
- 第92页
- 第93页
- 第94页
- 第95页
- 第96页
- 第97页
- 第98页
- 第99页
- 第100页
- 第101页
- 第102页
- 第103页
- 第104页
- 第105页
- 第106页
- 第107页
- 第108页
- 第109页
- 第110页
- 第111页
- 第112页
- 第113页
- 第114页
- 第115页
- 第116页
- 第117页
18.(2018 河南 22 题)将锌粉加入一定质量$\mathrm{Cu(NO_3)_2}$和$\mathrm{AgNO_3}$的混合溶液中,充分反应后过滤,可以得到溶液和固体。
(1)写出会导致溶液质量变小的有关反应的化学方程式。
(2)若所得溶液中只含有一种溶质,请分析所得固体的成分。
(1)写出会导致溶液质量变小的有关反应的化学方程式。
(2)若所得溶液中只含有一种溶质,请分析所得固体的成分。
答案:
18.
(1)$\mathrm{Zn} + 2\mathrm{AgNO_3} \longrightarrow \mathrm{Zn(NO_3)_2} + 2\mathrm{Ag}$
(2)一定含有铜和银,可能含有锌。
(1)$\mathrm{Zn} + 2\mathrm{AgNO_3} \longrightarrow \mathrm{Zn(NO_3)_2} + 2\mathrm{Ag}$
(2)一定含有铜和银,可能含有锌。
19.(2017 河南 23 题)在一定质量$\mathrm{Cu(NO_3)_2}$、$\mathrm{AgNO_3}$和$\mathrm{Al(NO_3)_3}$的混合溶液中加入过量的$\mathrm{Zn}$,充分反应后过滤,可得到固体和溶液。
(1)请写出一个有关反应的化学方程式。
(2)向所得固体上滴加盐酸,能观察到什么现象。
(3)反应后所得溶液的质量与反应前溶液的质量相比,可能保持不变,为什么?
(1)请写出一个有关反应的化学方程式。
(2)向所得固体上滴加盐酸,能观察到什么现象。
(3)反应后所得溶液的质量与反应前溶液的质量相比,可能保持不变,为什么?
答案:
19.
(1)$\mathrm{Zn} + 2\mathrm{AgNO_3} \longrightarrow \mathrm{Zn(NO_3)_2} + 2\mathrm{Ag}$
$[$或$\mathrm{Zn} + \mathrm{Cu(NO_3)_2} \longrightarrow \mathrm{Zn(NO_3)_2} + \mathrm{Cu}]$
(2)有气泡产生。
(3)锌与硝酸银反应使溶液质量减小,与硝酸铜反应使溶液质量增大,所以反应后所得溶液质量可能不变。
(1)$\mathrm{Zn} + 2\mathrm{AgNO_3} \longrightarrow \mathrm{Zn(NO_3)_2} + 2\mathrm{Ag}$
$[$或$\mathrm{Zn} + \mathrm{Cu(NO_3)_2} \longrightarrow \mathrm{Zn(NO_3)_2} + \mathrm{Cu}]$
(2)有气泡产生。
(3)锌与硝酸银反应使溶液质量减小,与硝酸铜反应使溶液质量增大,所以反应后所得溶液质量可能不变。
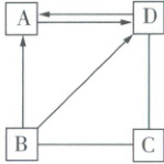
20.(2025 河南 20 题)郑州古荥镇发现的汉代冶铁遗址,证实中原炼铁历史悠久。炼铁高炉内主要物质间转化关系如右图所示(“$\longrightarrow$”表示物质间能反应,“$\longrightarrow$”表示反应一步实现,部分物质和反应条件已略去)。已知$\mathrm{B}$为固体燃料,$\mathrm{C}$为赤铁矿的主要成分。写出物质$\mathrm{A}$在生产、生活中的一种用途:

用于灭火等
;$\mathrm{A}$转化为$\mathrm{D}$的化学方程式为$\mathrm{CO_2} + \mathrm{C} \xlongequal{高温} 2\mathrm{CO}$
;$\mathrm{C}$与$\mathrm{D}$反应的化学方程式为$\mathrm{Fe_2O_3} + 3\mathrm{CO} \xlongequal{高温} 2\mathrm{Fe} + 3\mathrm{CO_2}$
。
答案:
20.用于灭火等 $\mathrm{CO_2} + \mathrm{C} \xlongequal{高温} 2\mathrm{CO}$ $\mathrm{Fe_2O_3} + 3\mathrm{CO} \xlongequal{高温} 2\mathrm{Fe} + 3\mathrm{CO_2}$
21.(2020 河南 18 题)如下图为$\mathrm{CO}$还原$\mathrm{Fe_2O_3}$的微型装置图。则$\mathrm{A}$处$\mathrm{V}$形管内的固体粉末由

红棕
色逐渐变黑;$\mathrm{B}$处$\mathrm{V}$形管内的溶液变浑浊,化学方程式为$\mathrm{CO_2} + \mathrm{Ca(OH)_2} \longrightarrow \mathrm{CaCO_3} \downarrow + \mathrm{H_2O}$
;将尾气点燃,化学方程式为$2\mathrm{CO} + \mathrm{O_2} \xlongequal{点燃} 2\mathrm{CO_2}$
。
答案:
21.红棕 $\mathrm{CO_2} + \mathrm{Ca(OH)_2} \longrightarrow \mathrm{CaCO_3} \downarrow + \mathrm{H_2O}$ $2\mathrm{CO} + \mathrm{O_2} \xlongequal{点燃} 2\mathrm{CO_2}$
22.(2025 河南 8 题)金属在改善人类生活方面发挥着巨大作用。下列相关叙述
A.纯铜的硬度比黄铜的大
B.钛合金具有良好的抗腐蚀性能
C.铁制品刷漆可防止生锈
D.回收废旧金属可实现资源再利用
不
正
确
的是 (A
)A.纯铜的硬度比黄铜的大
B.钛合金具有良好的抗腐蚀性能
C.铁制品刷漆可防止生锈
D.回收废旧金属可实现资源再利用
答案:
22.A
23.(2017 河南 17 题)铁车架的表面刷油漆能防止锈蚀,其原因是
隔绝$\mathrm{O_2}$和$\mathrm{H_2O}$
;用硫酸除铁锈($\mathrm{Fe_2O_3}$)的化学方程式为$\mathrm{Fe_2O_3} + 3\mathrm{H_2SO_4} \longrightarrow \mathrm{Fe_2(SO_4)_3} + 3\mathrm{H_2O}$
。
答案:
23.隔绝$\mathrm{O_2}$和$\mathrm{H_2O}$ $\mathrm{Fe_2O_3} + 3\mathrm{H_2SO_4} \longrightarrow \mathrm{Fe_2(SO_4)_3} + 3\mathrm{H_2O}$
24.(2016 河南 18 题)为减少污染并变废为宝,某化学小组在实验室探究工业废水的综合利用,设计了以下流程图并完成了回收铜和硫酸锌的实验。

(1)$\mathrm{X}$的成分为
操作Ⅰ需用的玻璃仪器有烧杯、玻璃棒和
(2)加入$\mathrm{B}$时反应的化学方程式为
(3)操作Ⅱ中玻璃棒的作用是
(1)$\mathrm{X}$的成分为
铜和锌(或$\mathrm{Cu}$和$\mathrm{Zn}$)
;操作Ⅰ需用的玻璃仪器有烧杯、玻璃棒和
漏斗
。(2)加入$\mathrm{B}$时反应的化学方程式为
$\mathrm{Zn} + \mathrm{H_2SO_4} \longrightarrow \mathrm{ZnSO_4} + \mathrm{H_2} \uparrow$
。(3)操作Ⅱ中玻璃棒的作用是
不断搅拌,防止因局部温度过高,造成液滴飞溅
。
答案:
24.
(1)铜和锌(或$\mathrm{Cu}$和$\mathrm{Zn}$) 漏斗
(2)$\mathrm{Zn} + \mathrm{H_2SO_4} \longrightarrow \mathrm{ZnSO_4} + \mathrm{H_2} \uparrow$
(3)不断搅拌,防止因局部温度过高,造成液滴飞溅
(1)铜和锌(或$\mathrm{Cu}$和$\mathrm{Zn}$) 漏斗
(2)$\mathrm{Zn} + \mathrm{H_2SO_4} \longrightarrow \mathrm{ZnSO_4} + \mathrm{H_2} \uparrow$
(3)不断搅拌,防止因局部温度过高,造成液滴飞溅
25.(2016 河南 19 题第一空)盐酸除铁锈($\mathrm{Fe_2O_3}$)的化学方程式为
$\mathrm{Fe_2O_3} + 6\mathrm{HCl} \longrightarrow 2\mathrm{FeCl_3} + 3\mathrm{H_2O}$
。
答案:
25.$\mathrm{Fe_2O_3} + 6\mathrm{HCl} \longrightarrow 2\mathrm{FeCl_3} + 3\mathrm{H_2O}$
查看更多完整答案,请扫码查看