第24页
- 第1页
- 第2页
- 第3页
- 第4页
- 第5页
- 第6页
- 第7页
- 第8页
- 第9页
- 第10页
- 第11页
- 第12页
- 第13页
- 第14页
- 第15页
- 第16页
- 第17页
- 第18页
- 第19页
- 第20页
- 第21页
- 第22页
- 第23页
- 第24页
- 第25页
- 第26页
- 第27页
- 第28页
- 第29页
- 第30页
- 第31页
- 第32页
- 第33页
- 第34页
- 第35页
- 第36页
- 第37页
- 第38页
- 第39页
- 第40页
- 第41页
- 第42页
- 第43页
- 第44页
- 第45页
- 第46页
- 第47页
- 第48页
- 第49页
- 第50页
- 第51页
- 第52页
- 第53页
- 第54页
- 第55页
- 第56页
- 第57页
- 第58页
- 第59页
- 第60页
- 第61页
- 第62页
- 第63页
- 第64页
- 第65页
- 第66页
- 第67页
- 第68页
- 第69页
- 第70页
- 第71页
- 第72页
- 第73页
- 第74页
1. 人类探索原子结构的奥秘,经历了漫长的过程。
(1) 1897 年,汤姆孙发现了______,提出原子是可分的,并提出原子模型如图所示。

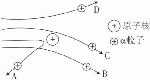
(2) 1911 年,物理学家卢瑟福用一束带正电的、质量比电子大得多的高速 α 粒子轰击金箔,预期这些 α 粒子会毫不费力地击穿金原子,到达对面的探测板上,结果发现:绝大多数 α 粒子穿过金箔后仍保持原来的运动方向,少数 α 粒子发生了较大角度的偏转,极少数 α 粒子被反弹回来。
① 当 α 粒子轰击金箔时,下图四条运动轨迹中不可能出现的是______(填字母)。

② 卢瑟福根据实验现象推测:原子中心有一个结构(原子核),它具有的特点是______(填序号)。
A. 带正电
B. 体积很小,但集中了原子的大部分质量
③ 若 α 粒子撞击到电子,______(填“明显影响”或“几乎不影响”)α 粒子运动轨迹,原因是______。
④ 1919 年,卢瑟福用 α 粒子轰击氮原子核,发现了一种新粒子,这种粒子带一个单位的正电荷,其质量与氢原子相近,这种粒子的名称为______。
(3) 随着研究的不断深入,科学家逐渐揭示了构成物质的微观粒子及其规律。请用物质构成的化学术语填空。

①~⑥中,带正电的粒子有______,带负电的粒子有______,显电中性的粒子有______。
(4) 20 世纪 80 年代中期,人们借助扫描隧道显微镜观察到原子在物质表面的排列状况。分析原子结构及原子的发现历程,以下观点正确的是______(填序号)。
A. 科学模型的建立是一个不断完善、修正的过程
B. 模型是一种重要的方法,人类借助模型构建,对原子的认识逐渐接近本质
C. 科学结论的得出要依据客观事实,面对前人的观点要敢于质疑
D. 科学理论的发展过程是发现并改正前人错误认识的过程
(1) 1897 年,汤姆孙发现了______,提出原子是可分的,并提出原子模型如图所示。
(2) 1911 年,物理学家卢瑟福用一束带正电的、质量比电子大得多的高速 α 粒子轰击金箔,预期这些 α 粒子会毫不费力地击穿金原子,到达对面的探测板上,结果发现:绝大多数 α 粒子穿过金箔后仍保持原来的运动方向,少数 α 粒子发生了较大角度的偏转,极少数 α 粒子被反弹回来。
① 当 α 粒子轰击金箔时,下图四条运动轨迹中不可能出现的是______(填字母)。
② 卢瑟福根据实验现象推测:原子中心有一个结构(原子核),它具有的特点是______(填序号)。
A. 带正电
B. 体积很小,但集中了原子的大部分质量
③ 若 α 粒子撞击到电子,______(填“明显影响”或“几乎不影响”)α 粒子运动轨迹,原因是______。
④ 1919 年,卢瑟福用 α 粒子轰击氮原子核,发现了一种新粒子,这种粒子带一个单位的正电荷,其质量与氢原子相近,这种粒子的名称为______。
(3) 随着研究的不断深入,科学家逐渐揭示了构成物质的微观粒子及其规律。请用物质构成的化学术语填空。
①~⑥中,带正电的粒子有______,带负电的粒子有______,显电中性的粒子有______。
(4) 20 世纪 80 年代中期,人们借助扫描隧道显微镜观察到原子在物质表面的排列状况。分析原子结构及原子的发现历程,以下观点正确的是______(填序号)。
A. 科学模型的建立是一个不断完善、修正的过程
B. 模型是一种重要的方法,人类借助模型构建,对原子的认识逐渐接近本质
C. 科学结论的得出要依据客观事实,面对前人的观点要敢于质疑
D. 科学理论的发展过程是发现并改正前人错误认识的过程
答案:
(1)电子
(2)①C ②AB ③几乎不影响 电子的质量比α粒子小得多 ④质子
(3)①分子 ②原子 ③原子核 ④电子 ⑤质子 ⑥中子 ③⑤ ④ ①②⑥ (⑤、⑥可互换,与图相符合即可)
(4)ABCD
(1)电子
(2)①C ②AB ③几乎不影响 电子的质量比α粒子小得多 ④质子
(3)①分子 ②原子 ③原子核 ④电子 ⑤质子 ⑥中子 ③⑤ ④ ①②⑥ (⑤、⑥可互换,与图相符合即可)
(4)ABCD
查看更多完整答案,请扫码查看