第44页
- 第1页
- 第2页
- 第3页
- 第4页
- 第5页
- 第6页
- 第7页
- 第8页
- 第9页
- 第10页
- 第11页
- 第12页
- 第13页
- 第14页
- 第15页
- 第16页
- 第17页
- 第18页
- 第19页
- 第20页
- 第21页
- 第22页
- 第23页
- 第24页
- 第25页
- 第26页
- 第27页
- 第28页
- 第29页
- 第30页
- 第31页
- 第32页
- 第33页
- 第34页
- 第35页
- 第36页
- 第37页
- 第38页
- 第39页
- 第40页
- 第41页
- 第42页
- 第43页
- 第44页
- 第45页
- 第46页
- 第47页
- 第48页
- 第49页
- 第50页
- 第51页
- 第52页
- 第53页
- 第54页
- 第55页
- 第56页
- 第57页
- 第58页
- 第59页
- 第60页
- 第61页
- 第62页
- 第63页
- 第64页
- 第65页
- 第66页
- 第67页
- 第68页
- 第69页
- 第70页
- 第71页
- 第72页
- 第73页
- 第74页
- 第75页
- 第76页
- 第77页
- 第78页
- 第79页
- 第80页
- 第81页
- 第82页
- 第83页
- 第84页
- 第85页
- 第86页
- 第87页
- 第88页
- 第89页
- 第90页
- 第91页
- 第92页
- 第93页
- 第94页
- 第95页
- 第96页
- 第97页
- 第98页
- 第99页
- 第100页
- 第101页
- 第102页
- 第103页
- 第104页
- 第105页
- 第106页
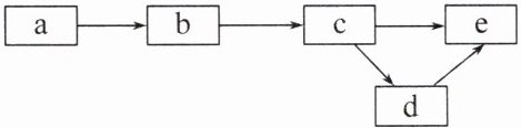
8. (2024·厦门模拟)如图表示生物体结构层次的概念模型,下列叙述错误的是( )

A.a是生物体结构和功能的基本单位
B.d是动植物体结构层次的主要区别
C.在植物体结构层次中,e表示果实
D.a→b包含细胞分裂和分化的过程
A.a是生物体结构和功能的基本单位
B.d是动植物体结构层次的主要区别
C.在植物体结构层次中,e表示果实
D.a→b包含细胞分裂和分化的过程
答案:
C 解析:除病毒外,生物体都是由细胞构成的,因此 a 是生物体结构和功能的基本单位——细胞;动植物体结构层次的主要区别是植物体没有[d]系统;植物体的结构层次:细胞→组织→器官→植物体,因此在植物体结构层次中,e 表示植物体;细胞分裂使细胞数目增多,细胞分化形成组织,因此[a]细胞→[b]组织包含细胞分裂和分化的过程。
9. (2025·三亚期末)“家是最小国,国是千万家。”多细胞生物体如同国家一样,由最小单位按一定次序组织在一起。图一表示的是人体的不同结构层次,图二是番茄的植物体上的各器官,请回答下列问题。

(1)A细胞通过______形成B,在此过程中,细胞核内的______先经过复制,然后平均分配到两个新细胞中。
(2)B形成C的过程叫______,细胞的形态和功能产生了差异形成组织,而我们人类的皮肤在结构层次上是______。
(3)用镊子在番茄外果皮撕取小块制成临时装片,观察到的细胞排列特点是排列紧密,番茄与人的结构层次相比没有______。番茄果实有丰富的营养物质,番茄果实主要由______组织构成。
(4)19世纪30年代,施莱登和施旺通过研究得出结论:不管是人体还是番茄这样的植物体,都是由______构成的。
(5)如图是某同学制作的番茄果肉细胞模型图,表格是相关的指标评价标准。

|等级|优秀|良好|待改进|
|指标|符合细胞的形态特征,结构完整,整体美观|符合细胞的形态特征,结构缺失或增多,整体美观|不符合细胞的形态特征,结构不完整|

根据评价指标,该同学制作的模型应被评为______。
(1)A细胞通过______形成B,在此过程中,细胞核内的______先经过复制,然后平均分配到两个新细胞中。
(2)B形成C的过程叫______,细胞的形态和功能产生了差异形成组织,而我们人类的皮肤在结构层次上是______。
(3)用镊子在番茄外果皮撕取小块制成临时装片,观察到的细胞排列特点是排列紧密,番茄与人的结构层次相比没有______。番茄果实有丰富的营养物质,番茄果实主要由______组织构成。
(4)19世纪30年代,施莱登和施旺通过研究得出结论:不管是人体还是番茄这样的植物体,都是由______构成的。
(5)如图是某同学制作的番茄果肉细胞模型图,表格是相关的指标评价标准。
|等级|优秀|良好|待改进|
|指标|符合细胞的形态特征,结构完整,整体美观|符合细胞的形态特征,结构缺失或增多,整体美观|不符合细胞的形态特征,结构不完整|
根据评价指标,该同学制作的模型应被评为______。
答案:
(1)细胞分裂 遗传物质 (2)细胞分化 器官 (3)系统 薄壁 (4)细胞 (5)良好 解析:(1)[A]受精卵通过细胞分裂形成[B]细胞群,在此过程中,细胞核内的遗传物质先经过复制,然后平均分配到两个新细胞中,使新细胞内遗传物质与亲代细胞保持一致。(2)经过细胞分裂产生的新细胞,在遗传物质的作用下,其形态、结构和功能随着细胞的生长出现了差异,这就是细胞分化,细胞分化的结果是形成不同的组织。[B]细胞群形成不同的[C]组织的过程叫细胞分化,细胞的形态和功能产生了差异,就形成了不同的[C]组织。(3)用镊子在番茄外果皮撕取小块制成临时装片,观察到的细胞排列特点是排列紧密,这是保护组织的特点。番茄与人的结构层次相比没有系统。番茄作为植物体,其结构层次为细胞→组织→器官→植物体,而人体作为动物体,其结构层次为细胞→组织→器官→系统→人体。因此,番茄没有系统这一结构层次。番茄果实有丰富的营养物质,番茄果实主要由薄壁组织构成,薄壁组织是植物体内储存营养物质的主要组织。(4)19 世纪 30 年代,施莱登和施旺通过研究得出结论:不管是人体还是番茄这样的植物体,都是由细胞构成的。这一结论揭示了生物体的统一性和细胞作为生物体基本结构和功能单位的重要性。(5)根据评价指标可知,图中的细胞结构具有叶绿体、细胞核、液泡和线粒体,但没有标注细胞壁、细胞膜和细胞质等结构,所以该同学制作的模型应被评为良好。
查看更多完整答案,请扫码查看