第68页
- 第1页
- 第2页
- 第3页
- 第4页
- 第5页
- 第6页
- 第7页
- 第8页
- 第9页
- 第10页
- 第11页
- 第12页
- 第13页
- 第14页
- 第15页
- 第16页
- 第17页
- 第18页
- 第19页
- 第20页
- 第21页
- 第22页
- 第23页
- 第24页
- 第25页
- 第26页
- 第27页
- 第28页
- 第29页
- 第30页
- 第31页
- 第32页
- 第33页
- 第34页
- 第35页
- 第36页
- 第37页
- 第38页
- 第39页
- 第40页
- 第41页
- 第42页
- 第43页
- 第44页
- 第45页
- 第46页
- 第47页
- 第48页
- 第49页
- 第50页
- 第51页
- 第52页
- 第53页
- 第54页
- 第55页
- 第56页
- 第57页
- 第58页
- 第59页
- 第60页
- 第61页
- 第62页
- 第63页
- 第64页
- 第65页
- 第66页
- 第67页
- 第68页
- 第69页
- 第70页
- 第71页
- 第72页
1. 我会填。
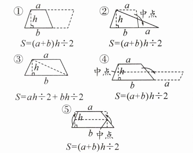
(1)下面是五种探究梯形面积公式的方法,其中正确的有( )。
①
$S= (a+b)h÷2$
②
$S= (a+b)h÷2$
③
$S= ah÷2+bh÷2$
④
$S= (a+b)h÷2$

⑤
$S= (a+b)h÷2$
(2)一个梯形的上底与下底的和是30 m,高是6 m,面积是( )$m^2$。
(1)下面是五种探究梯形面积公式的方法,其中正确的有( )。
①
$S= (a+b)h÷2$
②
$S= (a+b)h÷2$
③
$S= ah÷2+bh÷2$
④
$S= (a+b)h÷2$
⑤
$S= (a+b)h÷2$
(2)一个梯形的上底与下底的和是30 m,高是6 m,面积是( )$m^2$。
答案:
(1)①②③④⑤
(2)90
(1)①②③④⑤
(2)90
(1)一个梯形的高与上、下底的乘积分别是20 $cm^2$和35 $cm^2$,这个梯形的面积是( )$cm^2$。
A.27.5
B.55
C.110
D.15
A.27.5
B.55
C.110
D.15
答案:
A
(2)小志用一张长13 cm、宽4 cm的长方形纸折了一个梯形(如图),这个梯形的面积是( )$cm^2$。

A.40
B.46
C.52
D.80
A.40
B.46
C.52
D.80
答案:
A
3. 计算下面图形的面积。(单位:m)
(1)
(2)

(1)
(2)
答案:
(1)(10+8)×7÷2=63(m²)
(2)(3.7+5.3)×4.4÷2=19.8(m²)
(1)(10+8)×7÷2=63(m²)
(2)(3.7+5.3)×4.4÷2=19.8(m²)
4. 如图,每个小方格表示1 $cm^2$,请你将图形补充完整,使它成为一个面积是20 $cm^2$的梯形。
]

]
答案:
(画法不唯一)
5.(浙江温州)植物是制造氧气的工厂。有一块梯形草坪,它的上底是40 m,下底是60 m,高是30 m。如果每平方米草坪每天吸收0.036 kg二氧化碳,释放0.035 kg氧气。这块草坪每天能释放多少千克氧气?
答案:
(40+60)×30÷2×0.035=52.5(kg) 答:这块草坪每天能释放52.5kg氧气。
6. 某小区附近有一个梯形公园,大家每天都在公园里锻炼。已知梯形公园的面积是2.25公顷,上底是125 m,下底是250 m。这个梯形公园的高是多少米?
答案:
2.25公顷=22500m² 解:设这个梯形公园的高是xm。 (125+250)x÷2=22500 x=120 答:这个梯形公园的高是120m。
7. 如图,一个平行四边形的底是15 cm,高是6 cm。一条线段将该平行四边形分成了梯形和三角形两部分,它们的面积相差18 $cm^2$。求梯形的上底是多少厘米。
]

]
答案:
15×6=90(cm²) (90+18)÷2=54(cm²) 54×2÷6−15=3(cm) 答:梯形的上底是3cm。 解析:观察图形可知,梯形的下底已知,高已知,要求梯形的上底,就要知道梯形的面积。根据平行四边形的面积公式“平行四边形的面积=底×高”可求出这个平行四边形的面积是15×6=90(cm²),根据“一条线段将该平行四边形分成了梯形和三角形两部分,它们的面积相差18cm²”,可以将问题转化为和差问题,即两部分面积的和是平行四边形的面积90cm²,两部分面积的差是18cm²,所以梯形的面积是(90+18)÷2=54(cm²),再根据梯形的面积公式“梯形的面积=(上底+下底)×高÷2”可知上底=梯形的面积×2÷高-下底,即54×2÷6−15=3(cm)。
查看更多完整答案,请扫码查看