第10页
- 第2页
- 第3页
- 第4页
- 第5页
- 第6页
- 第7页
- 第8页
- 第9页
- 第10页
- 第11页
- 第12页
- 第13页
- 第14页
- 第15页
- 第16页
- 第17页
- 第18页
- 第19页
- 第20页
- 第21页
- 第22页
- 第23页
- 第24页
- 第25页
- 第26页
- 第27页
- 第28页
- 第29页
- 第30页
- 第31页
- 第32页
- 第33页
- 第34页
- 第35页
- 第36页
- 第37页
- 第38页
- 第39页
- 第40页
- 第41页
- 第42页
- 第43页
- 第44页
- 第45页
- 第46页
- 第47页
- 第48页
- 第49页
- 第50页
- 第51页
- 第52页
- 第53页
- 第54页
- 第55页
- 第56页
- 第57页
- 第58页
- 第59页
- 第60页
- 第61页
- 第62页
- 第63页
- 第64页
- 第65页
- 第66页
- 第67页
- 第68页
- 第69页
- 第70页
- 第71页
- 第72页
- 第73页
- 第74页
- 第75页
- 第76页
- 第77页
- 第78页
- 第79页
- 第80页
- 第81页
- 第82页
- 第83页
- 第84页
- 第85页
- 第86页
- 第87页
- 第88页
- 第89页
- 第90页
- 第91页
- 第92页
- 第93页
- 第94页
- 第95页
- 第96页
- 第97页
- 第98页
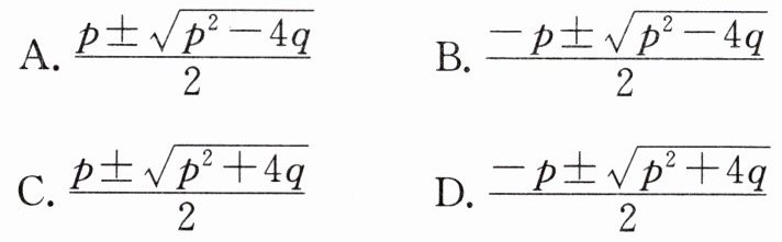
1. 一元二次方程 $x^{2}-px + q = 0(p^{2}-4q>0)$ 的两个根是(

A.$\frac{p\pm\sqrt{p^{2}-4q}}{2}$
B.$\frac{-p\pm\sqrt{p^{2}-4q}}{2}$
C.$\frac{p\pm\sqrt{p^{2}+4q}}{2}$
D.$\frac{-p\pm\sqrt{p^{2}+4q}}{2}$
A
)A.$\frac{p\pm\sqrt{p^{2}-4q}}{2}$
B.$\frac{-p\pm\sqrt{p^{2}-4q}}{2}$
C.$\frac{p\pm\sqrt{p^{2}+4q}}{2}$
D.$\frac{-p\pm\sqrt{p^{2}+4q}}{2}$
答案:
1.A
2. 用公式法解方程:$2x^{2}+4x = x + 2$。
解:方程化为一般形式,得
$a =$
$\Delta = b^{2}-4ac =$
方程有
$x=\frac{-b\pm\sqrt{b^{2}-4ac}}{2a}=$
即 $x_{1}=$
解:方程化为一般形式,得
$2x^{2}+3x-2=0$
。$a =$
2
,$b =$3
,$c =$-2
,$\Delta = b^{2}-4ac =$
25>0
。方程有
两个不相等的
实数根,为$x=\frac{-b\pm\sqrt{b^{2}-4ac}}{2a}=$
$\frac{-3\pm\sqrt{25}}{2×2}$
,即 $x_{1}=$
$\frac{1}{2}$
,$x_{2}=$-2
。
答案:
2.$2x^{2}+3x-2=0$ 2 3 -2 $25>0$ 两个不相等的 $\frac {-3\pm \sqrt {25}}{2×2}$ $\frac {1}{2}$ -2
3. 方程 $2x^{2}-x - 1 = 0$ 的根是
$x_{1}=1,x_{2}=-\frac {1}{2}$
。
答案:
3.$x_{1}=1,x_{2}=-\frac {1}{2}$
4. 用公式法解下列方程:
(1) $x^{2}-3x + 2 = 0$。
(2) $2x^{2}+5x - 3 = 0$。
(3) $x^{2}+10 = 2\sqrt{5}x$。
(4) $x^{2}-4x = x-\frac{25}{4}$。
(1) $x^{2}-3x + 2 = 0$。
(2) $2x^{2}+5x - 3 = 0$。
(3) $x^{2}+10 = 2\sqrt{5}x$。
(4) $x^{2}-4x = x-\frac{25}{4}$。
答案:
4.解:
(1)$\because a=1,b=-3,c=2,\therefore \Delta =b^{2}-4ac=(-3)^{2}-4×1×2=1>0$.
∴方程有两个不相等的实数根.$\therefore x=\frac {3\pm \sqrt {1}}{2}=\frac {3\pm 1}{2}$.$\therefore x_{1}=2,x_{2}=1$.
(2)$\because a=2,b=5,c=-3,\therefore \Delta =b^{2}-4ac=5^{2}-4×2×(-3)=49>0$.
∴方程有两个不相等的实数根.$\therefore x=\frac {-5\pm \sqrt {49}}{2×2}=\frac {-5\pm 7}{4}$.$\therefore x_{1}=-3,x_{2}=\frac {1}{2}$.
(3)$x^{2}-2\sqrt {5}x+10=0,\because a=1,b=-2\sqrt {5},c=10,\therefore \Delta =b^{2}-4ac=(-2\sqrt {5})^{2}-4×1×10=-20<0$.
∴此方程无实数根.
(4)$x^{2}-5x+\frac {25}{4}=0,\because a=1,b=-5,c=\frac {25}{4},\therefore \Delta =b^{2}-4ac=(-5)^{2}-4×1×\frac {25}{4}=0$.
∴方程有两个相等的实数根.$\therefore x=\frac {5\pm \sqrt {0}}{2}$.$\therefore x_{1}=x_{2}=\frac {5}{2}$.
(1)$\because a=1,b=-3,c=2,\therefore \Delta =b^{2}-4ac=(-3)^{2}-4×1×2=1>0$.
∴方程有两个不相等的实数根.$\therefore x=\frac {3\pm \sqrt {1}}{2}=\frac {3\pm 1}{2}$.$\therefore x_{1}=2,x_{2}=1$.
(2)$\because a=2,b=5,c=-3,\therefore \Delta =b^{2}-4ac=5^{2}-4×2×(-3)=49>0$.
∴方程有两个不相等的实数根.$\therefore x=\frac {-5\pm \sqrt {49}}{2×2}=\frac {-5\pm 7}{4}$.$\therefore x_{1}=-3,x_{2}=\frac {1}{2}$.
(3)$x^{2}-2\sqrt {5}x+10=0,\because a=1,b=-2\sqrt {5},c=10,\therefore \Delta =b^{2}-4ac=(-2\sqrt {5})^{2}-4×1×10=-20<0$.
∴此方程无实数根.
(4)$x^{2}-5x+\frac {25}{4}=0,\because a=1,b=-5,c=\frac {25}{4},\therefore \Delta =b^{2}-4ac=(-5)^{2}-4×1×\frac {25}{4}=0$.
∴方程有两个相等的实数根.$\therefore x=\frac {5\pm \sqrt {0}}{2}$.$\therefore x_{1}=x_{2}=\frac {5}{2}$.
5. 若代数式 $3x^{2}+1$ 的值与 $x + 3$ 的值相等,求 $x$ 的值。
答案:
5.解:由题意,得$3x^{2}+1=x+3$,整理,得$3x^{2}-x-2=0$.$\because a=3,b=-1,c=-2,\therefore \Delta =b^{2}-4ac=(-1)^{2}-4×3×(-2)=25>0$.
∴方程有两个不相等的实数根.$\therefore x=\frac {1\pm \sqrt {25}}{2×3}=\frac {1\pm 5}{6}$.$\therefore x_{1}=-\frac {2}{3},x_{2}=1$.故x的值为$-\frac {2}{3}$或1.
∴方程有两个不相等的实数根.$\therefore x=\frac {1\pm \sqrt {25}}{2×3}=\frac {1\pm 5}{6}$.$\therefore x_{1}=-\frac {2}{3},x_{2}=1$.故x的值为$-\frac {2}{3}$或1.
6. 新考向 过程性学习 小明在利用公式法解方程 $x^{2}-5x = 1$ 时出现了错误,他的解答过程如下:
$\because a = 1$,$b = -5$,$c = 1$,(第一步)
$\therefore\Delta = b^{2}-4ac = (-5)^{2}-4×1×1 = 21>0$。(第二步)
$\therefore$ 方程有两个不相等的实数根。
$\therefore x=\frac{5\pm\sqrt{21}}{2}$。(第三步)
$\therefore x_{1}=\frac{5+\sqrt{21}}{2}$,$x_{2}=\frac{5-\sqrt{21}}{2}$。(第四步)
(1) 小明的解答过程是从第
(2) 写出此题正确的解答过程。
$\because a = 1$,$b = -5$,$c = 1$,(第一步)
$\therefore\Delta = b^{2}-4ac = (-5)^{2}-4×1×1 = 21>0$。(第二步)
$\therefore$ 方程有两个不相等的实数根。
$\therefore x=\frac{5\pm\sqrt{21}}{2}$。(第三步)
$\therefore x_{1}=\frac{5+\sqrt{21}}{2}$,$x_{2}=\frac{5-\sqrt{21}}{2}$。(第四步)
(1) 小明的解答过程是从第
一
步开始出错的。(2) 写出此题正确的解答过程。
答案:
6.解:
(1)一
(2)方程化为一般形式,得$x^{2}-5x-1=0$.$\because a=1,b=-5,c=-1,\therefore \Delta =b^{2}-4ac=(-5)^{2}-4×1×(-1)=29>0$.
∴方程有两个不相等的实数根.$\therefore x=\frac {5\pm \sqrt {29}}{2}$.$\therefore x_{1}=\frac {5+\sqrt {29}}{2},x_{2}=\frac {5-\sqrt {29}}{2}$.
(1)一
(2)方程化为一般形式,得$x^{2}-5x-1=0$.$\because a=1,b=-5,c=-1,\therefore \Delta =b^{2}-4ac=(-5)^{2}-4×1×(-1)=29>0$.
∴方程有两个不相等的实数根.$\therefore x=\frac {5\pm \sqrt {29}}{2}$.$\therefore x_{1}=\frac {5+\sqrt {29}}{2},x_{2}=\frac {5-\sqrt {29}}{2}$.
查看更多完整答案,请扫码查看