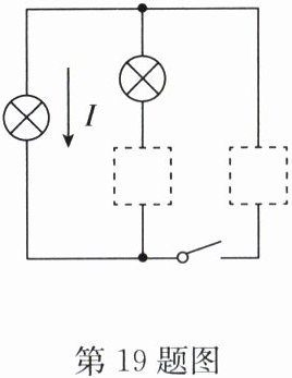
19. (3分)在如图所示的虚线框中填入电池和电流表的符号,使灯泡都能发光,且闭合开关后,电流方向符合图中箭头所示,标出电流表的正负极。

答案:
如答图所示
如答图所示
20. (10分)某小组在进行“探究物体的动能大小跟哪些因素有关”的实验中,选用不同质量的钢球m和M(M>m),分别从相同斜面的A或B位置下滑至相同的水平木板上。

(1)小明通过比较
(2)小红选用甲、乙装置,让同一小球从同一斜面的不同位置由静止释放,撞击水平面上的木块,发现木块滑行的距离不同,根据这一现象,判断下列说法正确的是
A. 动能大小与质量无关,一定还与其他因素有关
B. 动能大小除了与质量有关外,一定还与其他因素有关
C. 不能判断动能大小是否与质量有关,动能大小一定与质量外的其他因素有关
(3)甲图中木块在水平面上滑行时克服摩擦力做功的功率
(4)根据乙、丙两图
(1)小明通过比较
木块被撞击移动的距离
来比较小球动能的大小,根据乙、丙
两图实验得出结论:物体的动能大小与质量有关。(2)小红选用甲、乙装置,让同一小球从同一斜面的不同位置由静止释放,撞击水平面上的木块,发现木块滑行的距离不同,根据这一现象,判断下列说法正确的是
C
。A. 动能大小与质量无关,一定还与其他因素有关
B. 动能大小除了与质量有关外,一定还与其他因素有关
C. 不能判断动能大小是否与质量有关,动能大小一定与质量外的其他因素有关
(3)甲图中木块在水平面上滑行时克服摩擦力做功的功率
变小
(填“变大”“变小”或“不变”)。(4)根据乙、丙两图
能
(填“能”或“不能”)探究重力势能大小与质量的关系。
答案:
(1)木块被撞击移动的距离 乙、丙
(2)C
(3)变小
(4)能
(1)木块被撞击移动的距离 乙、丙
(2)C
(3)变小
(4)能
查看更多完整答案,请扫码查看