第76页
- 第1页
- 第2页
- 第3页
- 第4页
- 第5页
- 第6页
- 第7页
- 第8页
- 第9页
- 第10页
- 第11页
- 第12页
- 第13页
- 第14页
- 第15页
- 第16页
- 第17页
- 第18页
- 第19页
- 第20页
- 第21页
- 第22页
- 第23页
- 第24页
- 第25页
- 第26页
- 第27页
- 第28页
- 第29页
- 第30页
- 第31页
- 第32页
- 第33页
- 第34页
- 第35页
- 第36页
- 第37页
- 第38页
- 第39页
- 第40页
- 第41页
- 第42页
- 第43页
- 第44页
- 第45页
- 第46页
- 第47页
- 第48页
- 第49页
- 第50页
- 第51页
- 第52页
- 第53页
- 第54页
- 第55页
- 第56页
- 第57页
- 第58页
- 第59页
- 第60页
- 第61页
- 第62页
- 第63页
- 第64页
- 第65页
- 第66页
- 第67页
- 第68页
- 第69页
- 第70页
- 第71页
- 第72页
- 第73页
- 第74页
- 第75页
- 第76页
- 第77页
- 第78页
- 第79页
- 第80页
- 第81页
- 第82页
- 第83页
- 第84页
- 第85页
- 第86页
- 第87页
- 第88页
- 第89页
- 第90页
- 第91页
- 第92页
- 第93页
- 第94页
- 第95页
- 第96页
- 第97页
- 第98页
- 第99页
- 第100页
- 第101页
12.已知一个长方形的面积为$4a^{2}-6ab+2a$,若它的一条边长为2a,则它的周长是______
8a - 6b + 2
.
答案:
解:长方形的另一条边长为:
$(4a^{2} - 6ab + 2a) ÷ 2a = 4a^{2} ÷ 2a - 6ab ÷ 2a + 2a ÷ 2a = 2a - 3b + 1$
长方形的周长为:
$2 × (2a + 2a - 3b + 1) = 2 × (4a - 3b + 1) = 8a - 6b + 2$
8a - 6b + 2
$(4a^{2} - 6ab + 2a) ÷ 2a = 4a^{2} ÷ 2a - 6ab ÷ 2a + 2a ÷ 2a = 2a - 3b + 1$
长方形的周长为:
$2 × (2a + 2a - 3b + 1) = 2 × (4a - 3b + 1) = 8a - 6b + 2$
8a - 6b + 2
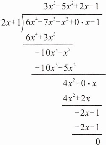
13.我们已经学习过多项式除以单项式,多项式除以多项式一般可用竖式计算,步骤如下:
①把被除式、除式按某个字母作降幂排列,并把所缺的项用零补齐.
②用被除式的第一项除以除式第一项,得到商式的第一项.
③用商式的第一项去乘除式,把积写在被除式下面(同类项对齐),消去相等项.
④把减得的差当作新的被除式,再按照上面的方法继续演算,直到余式为零或余式的次数低于除式的次数时为止,依据是“被除式= 除式×商式+余式”.若余式为零,说明这个多项式能被另一个多项式整除.
例如:计算$(6x^{4}-7x^{3}-x^{2}-1)÷ (2x+1)$,可采用竖式除法,如图:

$\therefore 6x^{4}-7x^{3}-x^{2}-1除以2x+1$,商式为$3x^{3}-5x^{2}+2x-1$,余式为0.
请根据以上材料,解答下列问题(直接填空):
(1)$(2x^{3}+x-3)÷ (x-1)=$______
(2)$[(x-2)(x-3)+1]÷ (x-1)$的余式为______
(3)$x^{3}+ax^{2}+bx-15能被x^{2}-2x+3$整除,则a= ______
①把被除式、除式按某个字母作降幂排列,并把所缺的项用零补齐.
②用被除式的第一项除以除式第一项,得到商式的第一项.
③用商式的第一项去乘除式,把积写在被除式下面(同类项对齐),消去相等项.
④把减得的差当作新的被除式,再按照上面的方法继续演算,直到余式为零或余式的次数低于除式的次数时为止,依据是“被除式= 除式×商式+余式”.若余式为零,说明这个多项式能被另一个多项式整除.
例如:计算$(6x^{4}-7x^{3}-x^{2}-1)÷ (2x+1)$,可采用竖式除法,如图:
$\therefore 6x^{4}-7x^{3}-x^{2}-1除以2x+1$,商式为$3x^{3}-5x^{2}+2x-1$,余式为0.
请根据以上材料,解答下列问题(直接填空):
(1)$(2x^{3}+x-3)÷ (x-1)=$______
$2x^{2}+2x+3$
;(2)$[(x-2)(x-3)+1]÷ (x-1)$的余式为______
$-1$
;(3)$x^{3}+ax^{2}+bx-15能被x^{2}-2x+3$整除,则a= ______
$-5$
,b= ______$1$
.
答案:
(1) $2x^{2}+2x+3$
(2) $-1$
(3) $a=-5$,$b=1$
(1) $2x^{2}+2x+3$
(2) $-1$
(3) $a=-5$,$b=1$
查看更多完整答案,请扫码查看