2024年同步学考练高中生物选择性必修1人教版
注:目前有些书本章节名称可能整理的还不是很完善,但都是按照顺序排列的,请同学们按照顺序仔细查找。练习册 2024年同步学考练高中生物选择性必修1人教版 答案主要是用来给同学们做完题方便对答案用的,请勿直接抄袭。
第27页
- 第1页
- 第2页
- 第3页
- 第4页
- 第5页
- 第6页
- 第7页
- 第8页
- 第9页
- 第10页
- 第11页
- 第12页
- 第13页
- 第14页
- 第15页
- 第16页
- 第17页
- 第18页
- 第19页
- 第20页
- 第21页
- 第22页
- 第23页
- 第24页
- 第25页
- 第26页
- 第27页
- 第28页
- 第29页
- 第30页
- 第31页
- 第32页
- 第33页
- 第34页
- 第35页
- 第36页
- 第37页
- 第38页
- 第39页
- 第40页
- 第41页
- 第42页
- 第43页
- 第44页
- 第45页
- 第46页
- 第47页
- 第48页
- 第49页
- 第50页
- 第51页
- 第52页
- 第53页
- 第54页
- 第55页
- 第56页
- 第57页
- 第58页
- 第59页
- 第60页
- 第61页
- 第62页
- 第63页
- 第64页
- 第65页
- 第66页
- 第67页
- 第68页
- 第69页
- 第70页
- 第71页
- 第72页
- 第73页
- 第74页
- 第75页
- 第76页
- 第77页
- 第78页
- 第79页
- 第80页
- 第81页
- 第82页
- 第83页
- 第84页
- 第85页
- 第86页
- 第87页
- 第88页
- 第89页
- 第90页
- 第91页
- 第92页
- 第93页
- 第94页
- 第95页
- 第96页
- 第97页
- 第98页
- 第99页
- 第100页
- 第101页
- 第102页
- 第103页
- 第104页
- 第105页
- 第106页
- 第107页
- 第108页
- 第109页
- 第110页
- 第111页
- 第112页
- 第113页
- 第114页
6. 下列关于反射弧的叙述,错误的是( )
A. 感受器可将刺激转变成兴奋
B. 反射弧中的感受器和效应器可分布于机体不同的组织或器官
C. 任何反射弧中的神经中枢都位于脊髓
D. 刺激某一反射弧的感受器或传出神经可使效应器产生相同的反应
A. 感受器可将刺激转变成兴奋
B. 反射弧中的感受器和效应器可分布于机体不同的组织或器官
C. 任何反射弧中的神经中枢都位于脊髓
D. 刺激某一反射弧的感受器或传出神经可使效应器产生相同的反应
答案:
C
7. 下图为某反射的示意图,下列相关叙述错误的是( )
A. 传出神经末梢及其支配的伸肌和屈肌均属于效应器
B. 该反射的神经中枢位于大脑皮层
C. 在③处施加刺激引起屈肌收缩不属于反射
D. 若①处受损,反射不能发生
A. 传出神经末梢及其支配的伸肌和屈肌均属于效应器
B. 该反射的神经中枢位于大脑皮层
C. 在③处施加刺激引起屈肌收缩不属于反射
D. 若①处受损,反射不能发生
答案:
B
1. 以下反射活动与“看到梅子分泌唾液”的反射类型相同的是( )
A. 吮吸反射
B. 杯弓蛇影
C. 眨眼反射
D. 缩手反射
A. 吮吸反射
B. 杯弓蛇影
C. 眨眼反射
D. 缩手反射
答案:
B
2. 下列有关条件反射的说法,错误的是( )
A. 条件反射是人和动物适应环境的一种重要活动方式
B. 条件反射是建立在非条件反射基础上的,是在生活过程中逐渐形成的
C. 条件反射使人和高等动物的行为活动具有预见性
D. 条件反射一旦建立,其反射弧就不再改变
A. 条件反射是人和动物适应环境的一种重要活动方式
B. 条件反射是建立在非条件反射基础上的,是在生活过程中逐渐形成的
C. 条件反射使人和高等动物的行为活动具有预见性
D. 条件反射一旦建立,其反射弧就不再改变
答案:
D
3. (不定项选择题)下图是某反射弧的组成示意图,据图分析下列结论错误的是( )
A. 图中兴奋传递的方向是①②③④
B. 该反射弧由3个神经元构成
C. 刺激图中②③任一部位,都不能引起反射
D. 图中当④受到刺激而②损伤时,人体能产生感觉
A. 图中兴奋传递的方向是①②③④
B. 该反射弧由3个神经元构成
C. 刺激图中②③任一部位,都不能引起反射
D. 图中当④受到刺激而②损伤时,人体能产生感觉
答案:
AB
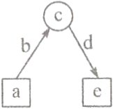
4. (不定项选择题)下图为反射弧结构模式图。下列叙述正确的是( )
A. 若此图表示膝跳反射的反射弧,则c代表脊髓
B. 若此图表示人看到酸梅分泌唾液的反射弧,则a代表眼球的视网膜
C. 若此图表示学生听到铃声进入教室的反射弧,则a代表耳的鼓膜
D. 若此图表示使运动协调和维持身体平衡的反射弧,则c代表小脑
A. 若此图表示膝跳反射的反射弧,则c代表脊髓
B. 若此图表示人看到酸梅分泌唾液的反射弧,则a代表眼球的视网膜
C. 若此图表示学生听到铃声进入教室的反射弧,则a代表耳的鼓膜
D. 若此图表示使运动协调和维持身体平衡的反射弧,则c代表小脑
答案:
ABD
5. 某人腰椎部位受外伤,造成右侧下肢运动障碍,但刺激右侧下肢有感觉,受伤的腰椎部位与右侧下肢的反射弧如下图所示,其中③④分别表示腰椎部的神经中枢的背部侧和腹部侧,该病人受损伤的具体部位可能是( )
A. ①②
B. ③④
C. ④⑤
D. ⑤⑥
A. ①②
B. ③④
C. ④⑤
D. ⑤⑥
答案:
C
查看更多完整答案,请扫码查看