第24页
- 第1页
- 第2页
- 第3页
- 第4页
- 第5页
- 第6页
- 第7页
- 第8页
- 第9页
- 第10页
- 第11页
- 第12页
- 第13页
- 第14页
- 第15页
- 第16页
- 第17页
- 第18页
- 第19页
- 第20页
- 第21页
- 第22页
- 第23页
- 第24页
- 第25页
- 第26页
- 第27页
- 第28页
- 第29页
- 第30页
- 第31页
- 第32页
- 第33页
- 第34页
- 第35页
- 第36页
- 第37页
- 第38页
- 第39页
- 第40页
- 第41页
- 第42页
- 第43页
- 第44页
- 第45页
- 第46页
- 第47页
- 第48页
- 第49页
- 第50页
- 第51页
- 第52页
- 第53页
- 第54页
- 第55页
- 第56页
- 第57页
- 第58页
- 第59页
- 第60页
- 第61页
- 第62页
- 第63页
- 第64页
- 第65页
- 第66页
- 第67页
- 第68页
3. 配制一种农药,其中药和水的质量比是1:250。(1)要配制这种农药1255千克,需要药和水各多少千克?(2)有药3千克,需要多少千克水来配制?
答案:
(1)5 千克 1250 千克 (2)750 千克
4. 给一间房子铺地砖,选用3分米×3分米的方砖,需960块;若选用4分米×4分米的方砖,需多少块?(用比例解)
答案:
设用 4 分米×4 分米的方砖,需 x 块。4×4×x = 3×3×960 x = 540
5. 甲、乙两个筑路队人数的比是7:3。如果从甲队派30人到乙队,则两队的人数比就成了3:2。甲、乙两个筑路队原来各有多少人?(用比例解)
答案:
设甲队原有 7a 人,则乙队原有 3a 人。(7a - 30) : (3a + 30) = 3 : 2 a = 30 甲:210 人 乙:90 人
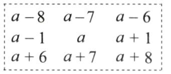
六、将连续自然数1~2008按下图方式排成一个方阵,用正方形框出9个数。(8分)
1. 右图中框出的9个数的和是( )。(2分)
2. 如右下图,框出的9个数中,最中间的一个数为a,请将右下图填完整。这9个数的和是( )。(1分)
3. 若框出的9个数的和是900,则这9个数中最小的数是( ),最大的数是( )。(2分)
4. 正方形框出的9个数的和可能是199吗?为什么?(3分)

1. 右图中框出的9个数的和是( )。(2分)
2. 如右下图,框出的9个数中,最中间的一个数为a,请将右下图填完整。这9个数的和是( )。(1分)
3. 若框出的9个数的和是900,则这9个数中最小的数是( ),最大的数是( )。(2分)
4. 正方形框出的9个数的和可能是199吗?为什么?(3分)
答案:
1. 153 2.
9a 3. 92 108 4. 和不可能是 199,因为框出的 9 个数的和一定是 9 的倍数,而 199÷9 = 22……1,199 不是 9 的倍数。
1. 153 2.
查看更多完整答案,请扫码查看