第111页
- 第1页
- 第2页
- 第3页
- 第4页
- 第5页
- 第6页
- 第7页
- 第8页
- 第9页
- 第10页
- 第11页
- 第12页
- 第13页
- 第14页
- 第15页
- 第16页
- 第17页
- 第18页
- 第19页
- 第20页
- 第21页
- 第22页
- 第23页
- 第24页
- 第25页
- 第26页
- 第27页
- 第28页
- 第29页
- 第30页
- 第31页
- 第32页
- 第33页
- 第34页
- 第35页
- 第36页
- 第37页
- 第38页
- 第39页
- 第40页
- 第41页
- 第42页
- 第43页
- 第44页
- 第45页
- 第46页
- 第47页
- 第48页
- 第49页
- 第50页
- 第51页
- 第52页
- 第53页
- 第54页
- 第55页
- 第56页
- 第57页
- 第58页
- 第59页
- 第60页
- 第61页
- 第62页
- 第63页
- 第64页
- 第65页
- 第66页
- 第67页
- 第68页
- 第69页
- 第70页
- 第71页
- 第72页
- 第73页
- 第74页
- 第75页
- 第76页
- 第77页
- 第78页
- 第79页
- 第80页
- 第81页
- 第82页
- 第83页
- 第84页
- 第85页
- 第86页
- 第87页
- 第88页
- 第89页
- 第90页
- 第91页
- 第92页
- 第93页
- 第94页
- 第95页
- 第96页
- 第97页
- 第98页
- 第99页
- 第100页
- 第101页
- 第102页
- 第103页
- 第104页
- 第105页
- 第106页
- 第107页
- 第108页
- 第109页
- 第110页
- 第111页
- 第112页
- 第113页
- 第114页
- 第115页
- 第116页
- 第117页
- 第118页
- 第119页
- 第120页
- 第121页
- 第122页
- 第123页
- 第124页
- 第125页
- 第126页
- 第127页
- 第128页
- 第129页
- 第130页
- 第131页
- 第132页
- 第133页
- 第134页
- 第135页
- 第136页
- 第137页
- 第138页
- 第139页
- 第140页
- 第141页
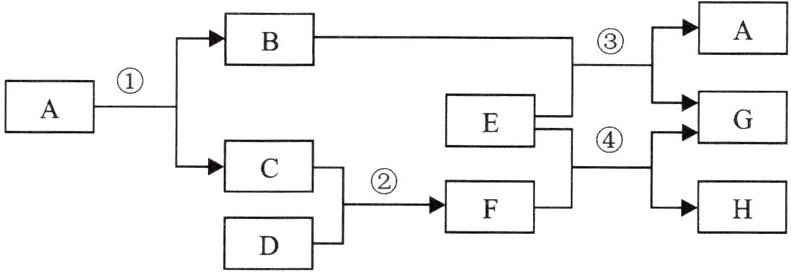
9. 为减少炼铁过程中生成$CO_2$的质量,某小组设计了如图所示的炼铁新方案(反应条件已略去)。A~H 是初中化学常见物质,其中 A 是常用的溶剂,G 是目前世界年产量最高的金属;反应①中用到的电为“绿电”,获得“绿电”的过程中不排放$CO_2$。请回答下列问题:

(1)可作为“绿电”来源的是
(2)反应①的化学方程式为
(3)反应①~④中属于置换反应的是
(4)冶炼得到相同质量的铁,使用该新方案比高炉炼铁生成$CO_2$的质量少,其原因除使用“绿电”外,还有
(1)可作为“绿电”来源的是
水能
(填“煤炭”或“水能”)。(2)反应①的化学方程式为
$2H₂O\xlongequal{通电}2H₂↑ + O₂↑$
。(3)反应①~④中属于置换反应的是
③
(填序号)。(4)冶炼得到相同质量的铁,使用该新方案比高炉炼铁生成$CO_2$的质量少,其原因除使用“绿电”外,还有
反应③是氢气和氧化铁或者四氧化三铁反应生成铁和水。(合理即可)
。
答案:
9.
(1)水能
$(2)2H₂O\xlongequal{通电}2H₂↑ + O₂↑$
(3)③
(4)反应③是氢气和氧化铁或者四氧化三铁反应生成铁和水。(合理即可)
(1)水能
$(2)2H₂O\xlongequal{通电}2H₂↑ + O₂↑$
(3)③
(4)反应③是氢气和氧化铁或者四氧化三铁反应生成铁和水。(合理即可)
10. 如图 1 所示,小瑾将反应后试管中的物质全部倒入烧杯时,发现烧杯内白色沉淀明显增多。为了探究烧杯内物质的成分,她立即向其中逐滴加入稀硝酸,并不断搅拌,烧杯内沉淀的质量随加入稀硝酸的质量变化如图 2 所示。

回答下列问题:
(1)图 1 所示,烧杯内的白色沉淀是
(2)BC 段发生反应的化学方程式为
(3)A 点,烧杯内的溶液中一定大量含有的离子为
(4)检验 D 点溶液中是否含有氯离子的方法是
回答下列问题:
(1)图 1 所示,烧杯内的白色沉淀是
BaCO₃、BaSO₄
(写化学式)。(2)BC 段发生反应的化学方程式为
BaCO₃ + 2HNO₃ = Ba(NO₃)₂ + CO₂↑ + H₂O
。(3)A 点,烧杯内的溶液中一定大量含有的离子为
Na⁺、Cl⁻、SO₄²⁻
(写离子符号)。B 点,烧杯内的沉淀由2
种物质组成。(4)检验 D 点溶液中是否含有氯离子的方法是
静置,取上层清液少许于洁净试管中,向其中滴加硝酸银溶液,若有白色沉淀产生,则说明含有Cl⁻;反之,则无Cl⁻
。
答案:
10.
(1)BaCO₃、BaSO₄
(2)BaCO₃ + 2HNO₃ = Ba(NO₃)₂ + CO₂↑ + H₂O
(3)Na⁺、Cl⁻、SO₄²⁻ 2
(4)静置,取上层清液少许于洁净试管中,向其中滴加硝酸银溶液,若有白色沉淀产生,则说明含有Cl⁻;反之,则无Cl⁻
(1)BaCO₃、BaSO₄
(2)BaCO₃ + 2HNO₃ = Ba(NO₃)₂ + CO₂↑ + H₂O
(3)Na⁺、Cl⁻、SO₄²⁻ 2
(4)静置,取上层清液少许于洁净试管中,向其中滴加硝酸银溶液,若有白色沉淀产生,则说明含有Cl⁻;反之,则无Cl⁻
查看更多完整答案,请扫码查看