第109页
- 第1页
- 第2页
- 第3页
- 第4页
- 第5页
- 第6页
- 第7页
- 第8页
- 第9页
- 第10页
- 第11页
- 第12页
- 第13页
- 第14页
- 第15页
- 第16页
- 第17页
- 第18页
- 第19页
- 第20页
- 第21页
- 第22页
- 第23页
- 第24页
- 第25页
- 第26页
- 第27页
- 第28页
- 第29页
- 第30页
- 第31页
- 第32页
- 第33页
- 第34页
- 第35页
- 第36页
- 第37页
- 第38页
- 第39页
- 第40页
- 第41页
- 第42页
- 第43页
- 第44页
- 第45页
- 第46页
- 第47页
- 第48页
- 第49页
- 第50页
- 第51页
- 第52页
- 第53页
- 第54页
- 第55页
- 第56页
- 第57页
- 第58页
- 第59页
- 第60页
- 第61页
- 第62页
- 第63页
- 第64页
- 第65页
- 第66页
- 第67页
- 第68页
- 第69页
- 第70页
- 第71页
- 第72页
- 第73页
- 第74页
- 第75页
- 第76页
- 第77页
- 第78页
- 第79页
- 第80页
- 第81页
- 第82页
- 第83页
- 第84页
- 第85页
- 第86页
- 第87页
- 第88页
- 第89页
- 第90页
- 第91页
- 第92页
- 第93页
- 第94页
- 第95页
- 第96页
- 第97页
- 第98页
- 第99页
- 第100页
- 第101页
- 第102页
- 第103页
- 第104页
- 第105页
- 第106页
- 第107页
- 第108页
- 第109页
- 第110页
- 第111页
- 第112页
- 第113页
- 第114页
- 第115页
- 第116页
- 第117页
- 第118页
- 第119页
- 第120页
- 第121页
- 第122页
- 第123页
- 第124页
- 第125页
- 第126页
- 第127页
- 第128页
- 第129页
- 第130页
- 第131页
- 第132页
- 第133页
- 第134页
- 第135页
- 第136页
- 第137页
- 第138页
- 第139页
- 第140页
- 第141页
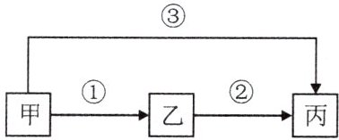
4. 甲、乙、丙是初中化学常见的物质,且类别相同(单质、氧化物、酸、碱、盐)。图中“$\rightarrow$”表示一种物质一步转化成另一种物质,部分反应物、生成物及反应条件未标出。下列说法与图示关系不符的是(

A.甲可以是硫酸
B.甲可以是氢氧化钙
C.①②③都可以是分解反应
D.①②③都可以是置换反应
C
)。A.甲可以是硫酸
B.甲可以是氢氧化钙
C.①②③都可以是分解反应
D.①②③都可以是置换反应
答案:
4.C
5. 归纳整理是学习化学的重要方法。下图涉及的是初中化学常见物质及反应,甲、乙、丁中至少含有一种相同的元素。其中“$\rightarrow$”表示一种物质通过一步反应可以转化为另一种物质,“—”表示相连两种物质可以反应。(反应条件、部分反应物、生成物已略去。)下列说法错误的是(

A.若甲能使带火星木条复燃,则丁可能具有还原性
B.若丁可用于治疗胃酸过多,则甲可能是胃液中含有的酸
C.若乙、丙含有相同的金属元素,则丙、丁可以发生复分解反应
D.若丙、丁常温下都是黑色固体,则乙$\rightarrow CO_2$的反应可以为置换反应
D
)。A.若甲能使带火星木条复燃,则丁可能具有还原性
B.若丁可用于治疗胃酸过多,则甲可能是胃液中含有的酸
C.若乙、丙含有相同的金属元素,则丙、丁可以发生复分解反应
D.若丙、丁常温下都是黑色固体,则乙$\rightarrow CO_2$的反应可以为置换反应
答案:
5.D
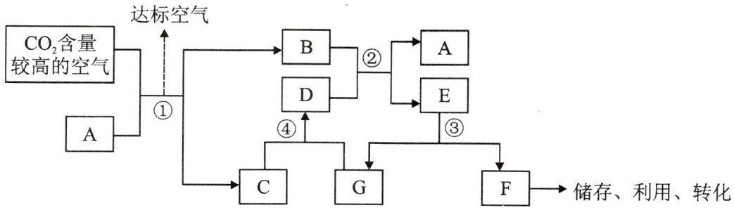
6. 我国力争 2060 年前实现“碳中和”,二氧化碳的捕获、储存、利用和转化等是实现目标的重要途径。某小组设计的二氧化碳捕获过程如图所示(反应条件已略去),A~G 是初中化学常见物质,其中 C 是一种常见的溶剂,A 和 G 的固体都可以作气体干燥剂。

请回答下列问题:
(1)固态的 F 俗称为
(2)反应②的化学方程式为
(3)反应④是
(4)D 物质的一种用途是
请回答下列问题:
(1)固态的 F 俗称为
干冰
。(2)反应②的化学方程式为
Ca(OH)₂ + Na₂CO₃ = 2NaOH + CaCO₃↓
。(3)反应④是
放热
(填“放热”或“吸热”)反应。(4)D 物质的一种用途是
改良酸性土壤(合理即可)
。
答案:
6.
(1)干冰
(2)Ca(OH)₂ + Na₂CO₃ = 2NaOH + CaCO₃↓
(3)放热
(4)改良酸性土壤(合理即可)
(1)干冰
(2)Ca(OH)₂ + Na₂CO₃ = 2NaOH + CaCO₃↓
(3)放热
(4)改良酸性土壤(合理即可)
查看更多完整答案,请扫码查看