2025年资源与评价黑龙江教育出版社八年级数学上册人教版H版
注:目前有些书本章节名称可能整理的还不是很完善,但都是按照顺序排列的,请同学们按照顺序仔细查找。练习册 2025年资源与评价黑龙江教育出版社八年级数学上册人教版H版 答案主要是用来给同学们做完题方便对答案用的,请勿直接抄袭。
第76页
- 第1页
- 第2页
- 第3页
- 第4页
- 第5页
- 第6页
- 第7页
- 第8页
- 第9页
- 第10页
- 第11页
- 第12页
- 第13页
- 第14页
- 第15页
- 第16页
- 第17页
- 第18页
- 第19页
- 第20页
- 第21页
- 第22页
- 第23页
- 第24页
- 第25页
- 第26页
- 第27页
- 第28页
- 第29页
- 第30页
- 第31页
- 第32页
- 第33页
- 第34页
- 第35页
- 第36页
- 第37页
- 第38页
- 第39页
- 第40页
- 第41页
- 第42页
- 第43页
- 第44页
- 第45页
- 第46页
- 第47页
- 第48页
- 第49页
- 第50页
- 第51页
- 第52页
- 第53页
- 第54页
- 第55页
- 第56页
- 第57页
- 第58页
- 第59页
- 第60页
- 第61页
- 第62页
- 第63页
- 第64页
- 第65页
- 第66页
- 第67页
- 第68页
- 第69页
- 第70页
- 第71页
- 第72页
- 第73页
- 第74页
- 第75页
- 第76页
- 第77页
- 第78页
- 第79页
- 第80页
- 第81页
- 第82页
- 第83页
- 第84页
- 第85页
- 第86页
- 第87页
- 第88页
- 第89页
- 第90页
- 第91页
- 第92页
- 第93页
- 第94页
- 第95页
- 第96页
- 第97页
- 第98页
- 第99页
- 第100页
- 第101页
- 第102页
- 第103页
- 第104页
5. 如图,小明把 $m$ 个大小相同的网球恰好放进新买的圆柱形收纳筒中,则这个圆柱形收纳筒的体积是 $m$ 个网球体积之和的

$\frac{3}{2}$
倍。$(V_{球}= \frac{4}{3}\pi r^{3})$
答案:
$\frac{3}{2}$
6. 已知 $A$,$B$ 均为整式,$A= (xy + 1)(xy - 2)-2x^{2}y^{2}+2$,小马在计算 $A÷ B$ 时,误把“$÷$”抄成了“$-$”,这样他计算的结果为 $-x^{2}y^{2}$。求 $A÷ B$ 的正确结果。
答案:
xy+1.
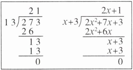
7. 在学习了单(多)项式除以单项式后,数学小组的成员讨论起该如何解决多项式除以多项式的问题,通过自主学习他们发现可以仿照整数的除法利用竖式进行计算。如 $(2x^{2}+7x+3)÷(x + 3)$ 可以仿照 $273÷13$ 进行计算(如下图):

根据竖式可得 $(2x^{2}+7x+3)÷(x + 3)= 2x + 1$,余数部分为 $0$,即 $2x^{2}+7x+3$ 可被 $x + 3$ 整除。
仿照上面的解题方法,用竖式计算:
(1) $(4x^{2}+20x+25)÷(2x + 5)$;
(2) $(x^{3}-1)÷(x - 1)$。
根据竖式可得 $(2x^{2}+7x+3)÷(x + 3)= 2x + 1$,余数部分为 $0$,即 $2x^{2}+7x+3$ 可被 $x + 3$ 整除。
仿照上面的解题方法,用竖式计算:
(1) $(4x^{2}+20x+25)÷(2x + 5)$;
(2) $(x^{3}-1)÷(x - 1)$。
答案:
(1)2x+5.
(2)x²+x+1.
(1)2x+5.
(2)x²+x+1.
查看更多完整答案,请扫码查看