第53页
- 第1页
- 第2页
- 第3页
- 第4页
- 第5页
- 第6页
- 第7页
- 第8页
- 第9页
- 第10页
- 第11页
- 第12页
- 第13页
- 第14页
- 第15页
- 第16页
- 第17页
- 第18页
- 第19页
- 第20页
- 第21页
- 第22页
- 第23页
- 第24页
- 第25页
- 第26页
- 第27页
- 第28页
- 第29页
- 第30页
- 第31页
- 第32页
- 第33页
- 第34页
- 第35页
- 第36页
- 第37页
- 第38页
- 第39页
- 第40页
- 第41页
- 第42页
- 第43页
- 第44页
- 第45页
- 第46页
- 第47页
- 第48页
- 第49页
- 第50页
- 第51页
- 第52页
- 第53页
- 第54页
- 第55页
- 第56页
- 第57页
- 第58页
- 第59页
- 第60页
- 第61页
- 第62页
- 第63页
- 第64页
- 第65页
- 第66页
- 第67页
- 第68页
- 第69页
- 第70页
- 第71页
- 第72页
- 第73页
- 第74页
- 第75页
- 第76页
- 第77页
- 第78页
- 第79页
- 第80页
- 第81页
- 第82页
- 第83页
- 第84页
- 第85页
- 第86页
- 第87页
- 第88页
- 第89页
- 第90页
- 第91页
- 第92页
- 第93页
- 第94页
- 第95页
- 第96页
- 第97页
- 第98页
- 第99页
- 第100页
- 第101页
- 第102页
- 第103页
- 第104页
- 第105页
- 第106页
- 第107页
- 第108页
- 第109页
- 第110页
- 第111页
- 第112页
- 第113页
- 第114页
- 第115页
- 第116页
- 第117页
- 第118页
- 第119页
1. 下图为组织的形成过程示意图,下列有关叙述错误的是( )

A.a、b、c 过程分别表示细胞的生长、分裂和分化
B.b 过程产生的新细胞中染色体数目不变
C.c 过程产生的细胞中染色体数目不变
D.形态、结构和生理功能不同的细胞联合在一起构成组织
A.a、b、c 过程分别表示细胞的生长、分裂和分化
B.b 过程产生的新细胞中染色体数目不变
C.c 过程产生的细胞中染色体数目不变
D.形态、结构和生理功能不同的细胞联合在一起构成组织
答案:
D 解析:由形态相似、功能相同的细胞联合在一起形成的细胞群叫作组织。
2. 下图可表示生物体的结构层次,下列说法正确的是( )

A.①经过分裂形成不同的组织
B.人体的发育是从①卵细胞开始的
C.血液和血管都属于组织
D.杜鹃花比杜鹃鸟少了②这一结构层次
A.①经过分裂形成不同的组织
B.人体的发育是从①卵细胞开始的
C.血液和血管都属于组织
D.杜鹃花比杜鹃鸟少了②这一结构层次
答案:
D 解析:植物体的结构层次由小到大依次为细胞→组织→器官→植物体;动物体的结构层次由小到大依次为细胞→组织→器官→系统→动物体。因此,题图中的①表示细胞,②表示系统。细胞经过分裂、分化形成组织;人体的发育是从受精卵开始的,而不是卵细胞;血液属于组织,但血管属于器官;杜鹃花属于植物,杜鹃鸟属于动物,杜鹃花比杜鹃鸟少了②系统这一结构层次。
3. 下图表示番茄的几个不同的结构层次,下列有关说法错误的是( )

A.切番茄时,流出大量汁液,这些汁液主要来自图甲中的①
B.图丙中的②是植物的营养器官
C.番茄植株的结构层次由小到大依次为甲→丁→乙→丙
D.人的心脏对应图丁所示结构层次
A.切番茄时,流出大量汁液,这些汁液主要来自图甲中的①
B.图丙中的②是植物的营养器官
C.番茄植株的结构层次由小到大依次为甲→丁→乙→丙
D.人的心脏对应图丁所示结构层次
答案:
D 解析:人的心脏属于器官,而图丁所示结构层次属于组织。
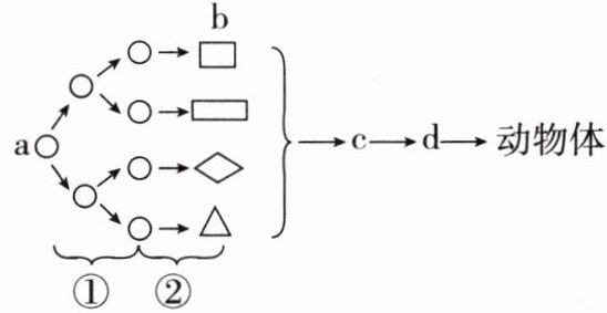
4. 右上图所示是动物体的构成模型,①②过程表示细胞不同的生理活动,a~d 表示动物体的结构层次。下列叙述正确的是( )

A.a 通过①②过程形成 b,相同的 b 组合在一起构成 c
B.不同的 c 按照一定的次序组合在一起构成了 d
C.衣藻与 c 属于同一结构层次
D.油菜的种子与 d 属于同一结构层次
A.a 通过①②过程形成 b,相同的 b 组合在一起构成 c
B.不同的 c 按照一定的次序组合在一起构成了 d
C.衣藻与 c 属于同一结构层次
D.油菜的种子与 d 属于同一结构层次
答案:
B 解析:分析题图可知,①过程表示细胞分裂,②过程表示细胞分化,a表示细胞,b表示组织,c表示器官,d表示系统。细胞通过分裂和分化形成组织后,不同的组织按照一定的次序组合在一起构成器官;系统是由能够共同完成一种或几种生理功能的多个器官按照一定的次序组合在一起构成的;衣藻是单细胞生物,没有器官;油菜的种子属于器官。
5. 大熊猫是我国特有的物种,主要以箭竹为食。下图为二者的结构层次模式图,a 为生物体的部分结构层次,请据图回答下列问题。

(1) 大熊猫主要以箭竹幼嫩的茎和叶为食,箭竹的茎中含有____组织,能运输水和无机盐,因此箭竹的茎属于____器官。
(2) 大熊猫吃箭竹幼嫩的茎和叶,体现了生物____的特征;箭竹地下茎上的芽能发育成竹笋,说明地下茎上的芽中具有____组织,体现了生物____的特征。
(3) 若生物个体 A 是大熊猫,则 a 表示的结构层次是____;若生物个体 A 是箭竹,则 a 表示的结构层次是____。(用文字和箭头表示)
(4) 大熊猫较为顽皮,喜欢攀爬树干。在攀爬过程中其四肢上具有收缩、舒张功能,能为攀爬提供动力的是____组织。
(1) 大熊猫主要以箭竹幼嫩的茎和叶为食,箭竹的茎中含有____组织,能运输水和无机盐,因此箭竹的茎属于____器官。
(2) 大熊猫吃箭竹幼嫩的茎和叶,体现了生物____的特征;箭竹地下茎上的芽能发育成竹笋,说明地下茎上的芽中具有____组织,体现了生物____的特征。
(3) 若生物个体 A 是大熊猫,则 a 表示的结构层次是____;若生物个体 A 是箭竹,则 a 表示的结构层次是____。(用文字和箭头表示)
(4) 大熊猫较为顽皮,喜欢攀爬树干。在攀爬过程中其四肢上具有收缩、舒张功能,能为攀爬提供动力的是____组织。
答案:
(1)输导 营养
(2)生活需要营养 分生 能生长、发育和繁殖
(3)组织→器官→系统 组织→器官
(4)肌肉
(1)输导 营养
(2)生活需要营养 分生 能生长、发育和繁殖
(3)组织→器官→系统 组织→器官
(4)肌肉
查看更多完整答案,请扫码查看