2025年暑假生活北京师范大学出版社高二化学人教版
注:目前有些书本章节名称可能整理的还不是很完善,但都是按照顺序排列的,请同学们按照顺序仔细查找。练习册 2025年暑假生活北京师范大学出版社高二化学人教版 答案主要是用来给同学们做完题方便对答案用的,请勿直接抄袭。
1. 芳香烃的组成、结构特点
CₙH₂ₙ₋₆(n≥6)
答案:
CₙH₂ₙ₋₆(n≥6)
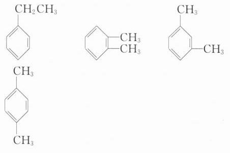
2. 苯的同系物的同分异构体(以芳香烃$C_{8}H_{10}$为例)
|名称|乙苯|邻二甲苯|间二甲苯|对二甲苯|
|结构简式|______|______|______|______|
|名称|乙苯|邻二甲苯|间二甲苯|对二甲苯|
|结构简式|______|______|______|______|
答案:
3. 苯的同系物与苯的性质比较
(1)相同点
都含有苯环:取代(卤代、硝化、磺化)、加氢→环烷烃(反应比烯烃、炔烃困难)、点燃:有浓烟
(2)不同点
烷基对苯环有影响,所以苯的同系物比苯更易发生取代反应;苯环对烷基也有影响,所以苯环上的烷基能被酸性高锰酸钾溶液氧化。

③ 易被氧化,能使酸性$KMnO_{4}$溶液褪色:

(1)相同点
都含有苯环:取代(卤代、硝化、磺化)、加氢→环烷烃(反应比烯烃、炔烃困难)、点燃:有浓烟
(2)不同点
烷基对苯环有影响,所以苯的同系物比苯更易发生取代反应;苯环对烷基也有影响,所以苯环上的烷基能被酸性高锰酸钾溶液氧化。
③ 易被氧化,能使酸性$KMnO_{4}$溶液褪色:
答案:
2. 物理性质

高
升高
不
可
大于
答案:
高 升高 不 可 大于
查看更多完整答案,请扫码查看