第52页
- 第1页
- 第2页
- 第3页
- 第4页
- 第5页
- 第6页
- 第7页
- 第8页
- 第9页
- 第10页
- 第11页
- 第12页
- 第13页
- 第14页
- 第15页
- 第16页
- 第17页
- 第18页
- 第19页
- 第20页
- 第21页
- 第22页
- 第23页
- 第24页
- 第25页
- 第26页
- 第27页
- 第28页
- 第29页
- 第30页
- 第31页
- 第32页
- 第33页
- 第34页
- 第35页
- 第36页
- 第37页
- 第38页
- 第39页
- 第40页
- 第41页
- 第42页
- 第43页
- 第44页
- 第45页
- 第46页
- 第47页
- 第48页
- 第49页
- 第50页
- 第51页
- 第52页
- 第53页
- 第54页
- 第55页
- 第56页
- 第57页
- 第58页
- 第59页
- 第60页
- 第61页
- 第62页
- 第63页
- 第64页
- 第65页
- 第66页
- 第67页
- 第68页
- 第69页
- 第70页
- 第71页
- 第72页
- 第73页
- 第74页
- 第75页
- 第76页
- 第77页
- 第78页
- 第79页
- 第80页
9. 物质的分类是学习化学的一种重要方法。下列物质属于单质的是(
A.水银
B.洁净的空气
C.二氧化碳
D.水
A
)A.水银
B.洁净的空气
C.二氧化碳
D.水
答案:
解析:选A。A. 水银是汞的俗称,是由汞元素组成的纯净物,属于单质,符合题意;B. 洁净的空气是由氮气、氧气等混合而成,属于混合物,不符合题意;C. 二氧化碳是由碳、氧元素组成的纯净物,属于化合物,不符合题意;D. 水是由氢元素和氧元素组成的纯净物,属于化合物,不符合题意。故选A。
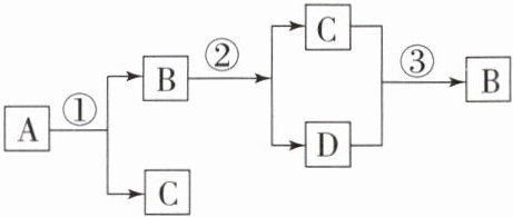
10. 图中A、B、C、D均是初中化学常见的物质,其中A、B都是由两种相同元素组成的,C、D均为气体单质,人和动物吸入C后,体内的营养物质会发生缓慢氧化。它们的转化关系如图所示(反应条件已略去)。下列说法正确的是(

A.图中①②③反应都是分解反应
B.图中反应①的现象是产生大量气泡
C.图中反应②常用于实验室制取氧气
D.物质C是氢气
B
)A.图中①②③反应都是分解反应
B.图中反应①的现象是产生大量气泡
C.图中反应②常用于实验室制取氧气
D.物质C是氢气
答案:
B
11. 现有①二氧化碳、②硫粉、③空气、④氧气、⑤氢氧化钙、⑥冰、⑦海水、⑧铁水等8种物质,其中(用序号填空):
(1)属于混合物的是
(2)属于单质的是
(3)属于化合物的是
(4)属于氧化物的是
(5)由原子构成的单质是
(1)属于混合物的是
③⑦
。(2)属于单质的是
②④⑧
。(3)属于化合物的是
①⑤⑥
。(4)属于氧化物的是
①⑥
。(5)由原子构成的单质是
②⑧
。
答案:
解析:
(1)③空气、⑦海水都由多种物质组成,属于混合物;
(2)②硫粉、④氧气、⑧铁水都是由一种元素组成的纯净物,属于单质;
(3)①二氧化碳、⑤氢氧化钙、⑥冰都是由不同种元素组成的纯净物,属于化合物;
(4)①二氧化碳、⑥冰都是由两种元素组成且其中一种是氧元素的化合物,属于氧化物;
(5)②硫粉由硫原子构成,⑧铁水即液态铁,由铁原子构成。
答案:
(1)③⑦
(2)②④⑧
(3)①⑤⑥
(4)①⑥
(5)②⑧
(1)③空气、⑦海水都由多种物质组成,属于混合物;
(2)②硫粉、④氧气、⑧铁水都是由一种元素组成的纯净物,属于单质;
(3)①二氧化碳、⑤氢氧化钙、⑥冰都是由不同种元素组成的纯净物,属于化合物;
(4)①二氧化碳、⑥冰都是由两种元素组成且其中一种是氧元素的化合物,属于氧化物;
(5)②硫粉由硫原子构成,⑧铁水即液态铁,由铁原子构成。
答案:
(1)③⑦
(2)②④⑧
(3)①⑤⑥
(4)①⑥
(5)②⑧
12. 如图是“电解水实验”的装置图,根据所学知识回答问题:


(1)电解水时,水中加入少量硫酸钠或氢氧化钠的目的是
(2)图1中甲连接电源
(3)已知相同条件下试管乙中气体密度是试管甲中气体密度的16倍,即$\rho_{甲}:\rho_{乙}= 1:16$。试推算甲、乙两试管中气体质量比。(要有推算过程)
(1)电解水时,水中加入少量硫酸钠或氢氧化钠的目的是
增强导电性
。(2)图1中甲连接电源
负
极,产生气体对应图2中A
(填“A”或“B”)气体。(3)已知相同条件下试管乙中气体密度是试管甲中气体密度的16倍,即$\rho_{甲}:\rho_{乙}= 1:16$。试推算甲、乙两试管中气体质量比。(要有推算过程)
$\frac{m_{甲}}{m_{乙}}=\frac{\rho_{甲}V_{甲}}{\rho_{乙}V_{乙}}=\frac{\rho_{甲}}{\rho_{乙}}×\frac{V_{甲}}{V_{乙}}=\frac{1}{16}×\frac{2}{1}=\frac{1}{8}$。
答案:
解析:
(1)纯水几乎不导电,电解水时,水中加入少量硫酸钠或氢氧化钠的目的是增强导电性。
(2)由图示可知,甲试管中的气体体积较大,是氢气,乙试管中的气体是氧气,则图1中甲连接电源负极,产生气体对应图2中A气体。
(3)见答案。
答案:
(1)增强导电性
(2)负 A
(3)$\frac{m_{甲}}{m_{乙}}=\frac{\rho_{甲}V_{甲}}{\rho_{乙}V_{乙}}=\frac{\rho_{甲}}{\rho_{乙}}×\frac{V_{甲}}{V_{乙}}=\frac{1}{16}×\frac{2}{1}=\frac{1}{8}$。
(1)纯水几乎不导电,电解水时,水中加入少量硫酸钠或氢氧化钠的目的是增强导电性。
(2)由图示可知,甲试管中的气体体积较大,是氢气,乙试管中的气体是氧气,则图1中甲连接电源负极,产生气体对应图2中A气体。
(3)见答案。
答案:
(1)增强导电性
(2)负 A
(3)$\frac{m_{甲}}{m_{乙}}=\frac{\rho_{甲}V_{甲}}{\rho_{乙}V_{乙}}=\frac{\rho_{甲}}{\rho_{乙}}×\frac{V_{甲}}{V_{乙}}=\frac{1}{16}×\frac{2}{1}=\frac{1}{8}$。
查看更多完整答案,请扫码查看