第63页
- 第1页
- 第2页
- 第3页
- 第4页
- 第5页
- 第6页
- 第7页
- 第8页
- 第9页
- 第10页
- 第11页
- 第12页
- 第13页
- 第14页
- 第15页
- 第16页
- 第17页
- 第18页
- 第19页
- 第20页
- 第21页
- 第22页
- 第23页
- 第24页
- 第25页
- 第26页
- 第27页
- 第28页
- 第29页
- 第30页
- 第31页
- 第32页
- 第33页
- 第34页
- 第35页
- 第36页
- 第37页
- 第38页
- 第39页
- 第40页
- 第41页
- 第42页
- 第43页
- 第44页
- 第45页
- 第46页
- 第47页
- 第48页
- 第49页
- 第50页
- 第51页
- 第52页
- 第53页
- 第54页
- 第55页
- 第56页
- 第57页
- 第58页
- 第59页
- 第60页
- 第61页
- 第62页
- 第63页
- 第64页
- 第65页
- 第66页
- 第67页
- 第68页
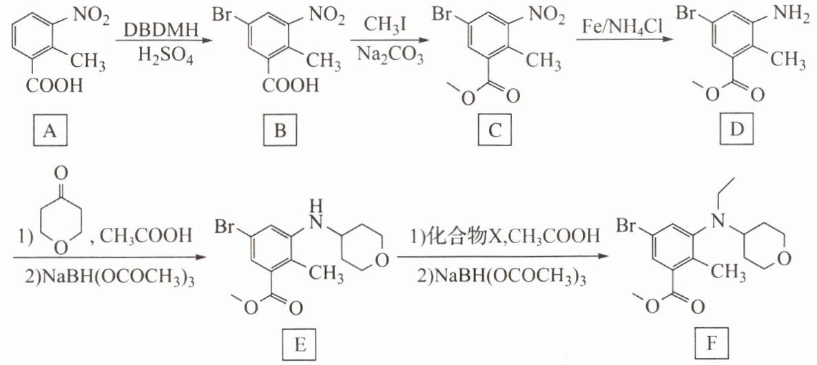
3. 化合物 F 是合成组蛋白甲基转移酶抑制剂 Tazverik 的中间体,其合成路线如图:

(1)A 中碳原子的杂化轨道类型为____。
(2)B→C 的反应类型为____。
(3)D 的一种同分异构体同时满足下列条件,写出该同分异构体的结构简式____。
①分子中含有 1 个手性碳原子;
②在一定条件下完全水解,含苯环产物分子中不同化学环境的氢原子数目比为$2:1$。
(4)E→F 的转化需要化合物 X,化合物 X 的结构简式____。
(5)
(R 表示烃基)。写出以
和
为原料制备
的合成路线流程图____(无机试剂和有机溶剂任用,合成路线流程图示例见本题题干)。
(1)A 中碳原子的杂化轨道类型为____。
(2)B→C 的反应类型为____。
(3)D 的一种同分异构体同时满足下列条件,写出该同分异构体的结构简式____。
①分子中含有 1 个手性碳原子;
②在一定条件下完全水解,含苯环产物分子中不同化学环境的氢原子数目比为$2:1$。
(4)E→F 的转化需要化合物 X,化合物 X 的结构简式____。
(5)
的合成路线流程图____(无机试剂和有机溶剂任用,合成路线流程图示例见本题题干)。
答案:
(1) $ sp^{2} $ 和 $ sp^{3} $
(2) 取代反应
(3)
(4)
(5)
(1) $ sp^{2} $ 和 $ sp^{3} $
(2) 取代反应
(3)
(4)
(5)
查看更多完整答案,请扫码查看