2025年非常学案高中物理选择性必修第一册人教版
注:目前有些书本章节名称可能整理的还不是很完善,但都是按照顺序排列的,请同学们按照顺序仔细查找。练习册 2025年非常学案高中物理选择性必修第一册人教版 答案主要是用来给同学们做完题方便对答案用的,请勿直接抄袭。
第39页
- 第1页
- 第2页
- 第3页
- 第4页
- 第5页
- 第6页
- 第7页
- 第8页
- 第9页
- 第10页
- 第11页
- 第12页
- 第13页
- 第14页
- 第15页
- 第16页
- 第17页
- 第18页
- 第19页
- 第20页
- 第21页
- 第22页
- 第23页
- 第24页
- 第25页
- 第26页
- 第27页
- 第28页
- 第29页
- 第30页
- 第31页
- 第32页
- 第33页
- 第34页
- 第35页
- 第36页
- 第37页
- 第38页
- 第39页
- 第40页
- 第41页
- 第42页
- 第43页
- 第44页
- 第45页
- 第46页
- 第47页
- 第48页
- 第49页
- 第50页
- 第51页
- 第52页
- 第53页
- 第54页
- 第55页
- 第56页
- 第57页
- 第58页
- 第59页
- 第60页
- 第61页
- 第62页
- 第63页
- 第64页
- 第65页
- 第66页
- 第67页
- 第68页
- 第69页
- 第70页
- 第71页
- 第72页
- 第73页
- 第74页
- 第75页
- 第76页
- 第77页
- 第78页
- 第79页
- 第80页
- 第81页
- 第82页
- 第83页
- 第84页
- 第85页
- 第86页
- 第87页
- 第88页
- 第89页
- 第90页
- 第91页
- 第92页
- 第93页
- 第94页
- 第95页
- 第96页
- 第97页
- 第98页
- 第99页
- 第100页
- 第101页
- 第102页
- 第103页
- 第104页
- 第105页
- 第106页
1. 定义
如果物体的位移与时间的关系遵从
如果物体的位移与时间的关系遵从
正弦
函数的规律,即它的振动图像($x-t$图像)是一条正弦
曲线,这样的振动是一种简谐运动。
答案:
1.正弦 正弦
2. 特点
简谐运动是最基本的
简谐运动是最基本的
振动
,弹簧振子的运动就是简谐运动
。
答案:
2.振动 简谐运动
【思考讨论】
问题 将简谐运动与我们熟悉的匀速直线运动进行比较,速度的特点有何不同?如何判断一个物体的运动是不是简谐运动?
问题 将简谐运动与我们熟悉的匀速直线运动进行比较,速度的特点有何不同?如何判断一个物体的运动是不是简谐运动?
简谐运动的速度大小、方向都在不断变化。
若物体的位移随时间按正弦函数的规律变化,则这个物体的运动就是简谐运动。
答案:
问题 提示:简谐运动的速度大小、方向都在不断变化。若物体的位移随时间按正弦函数的规律变化,则这个物体的运动就是简谐运动。
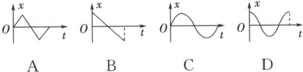
【典例 5】 (简谐运动的判断)(多选)质点运动的位移—时间图像如图所示,其中质点一定不是做简谐运动的是 (

AB
)
答案:
【典例5】 AB[位移—时间图像满足正(余)弦规律变化的运动才是简谐运动,可知A、B一定不是简谐运动。]
【典例 6】 (人教版$P_{35}T_2$改编)(简谐运动的图像)(多选)如图是某质点做简谐运动的振动图像。由图像可知 (

A.质点在 1.5 s 和 2.5 s 这两个时刻,位置坐标不同,速度方向相同
B.质点在第 2 s 末的位移为$-10\ cm$
C.质点在前 2 s 内运动的路程是 20 cm
D.质点在 0~1 s 内和 2~3 s 内位移与速度方向相同
ACD
)A.质点在 1.5 s 和 2.5 s 这两个时刻,位置坐标不同,速度方向相同
B.质点在第 2 s 末的位移为$-10\ cm$
C.质点在前 2 s 内运动的路程是 20 cm
D.质点在 0~1 s 内和 2~3 s 内位移与速度方向相同
答案:
【典例6】 ACD[质点在1.5s时,位于平衡位置上方x=7cm处,沿x轴负方向运动,质点在2.5s时位于平衡位置下方x=-7cm处,仍沿x轴负方向运动,故A正确;质点在第2s末正好位于平衡位置,所以位移为0,B项错误;质点在前2s内运动的路程为2A=20cm,C项正确;0~1s内质点向x轴正方向振动,2~3s内质点向x轴负方向振动,故D正确。]
查看更多完整答案,请扫码查看