2025年金版新学案高中化学选择性必修第一册人教版
注:目前有些书本章节名称可能整理的还不是很完善,但都是按照顺序排列的,请同学们按照顺序仔细查找。练习册 2025年金版新学案高中化学选择性必修第一册人教版 答案主要是用来给同学们做完题方便对答案用的,请勿直接抄袭。
第35页
- 第1页
- 第2页
- 第3页
- 第4页
- 第5页
- 第6页
- 第7页
- 第8页
- 第9页
- 第10页
- 第11页
- 第12页
- 第13页
- 第14页
- 第15页
- 第16页
- 第17页
- 第18页
- 第19页
- 第20页
- 第21页
- 第22页
- 第23页
- 第24页
- 第25页
- 第26页
- 第27页
- 第28页
- 第29页
- 第30页
- 第31页
- 第32页
- 第33页
- 第34页
- 第35页
- 第36页
- 第37页
- 第38页
- 第39页
- 第40页
- 第41页
- 第42页
- 第43页
- 第44页
- 第45页
- 第46页
- 第47页
- 第48页
- 第49页
- 第50页
- 第51页
- 第52页
- 第53页
- 第54页
- 第55页
- 第56页
- 第57页
- 第58页
- 第59页
- 第60页
- 第61页
- 第62页
- 第63页
- 第64页
- 第65页
- 第66页
- 第67页
- 第68页
- 第69页
- 第70页
- 第71页
- 第72页
- 第73页
- 第74页
- 第75页
- 第76页
- 第77页
- 第78页
- 第79页
- 第80页
- 第81页
- 第82页
- 第83页
- 第84页
- 第85页
- 第86页
- 第87页
- 第88页
- 第89页
- 第90页
- 第91页
- 第92页
- 第93页
- 第94页
- 第95页
- 第96页
- 第97页
- 第98页
- 第99页
- 第100页
1. 已知$2NO_{2}(g)\rightleftharpoons N_{2}O_{4}(g)$,用分压$p$(某组分的分压等于总压与其物质的量分数的积)表示的平衡常数$K_{p}=\frac {p(N_{2}O_{4})}{p^{2}(NO_{2})}$。$298K$时,在体积固定的密闭容器中充入一定量的$NO_{2}$,平衡时$NO_{2}$的分压为$100kPa$。已知$K_{p}=2.7×10^{-3}kPa^{-1}$,则$NO_{2}$的转化率为(
A.$70\%$
B.$55\%$
C.$46\%$
D.$35\%$
D
)A.$70\%$
B.$55\%$
C.$46\%$
D.$35\%$
答案:
D
解析:假设起始时投入$NO_2$的物质的量为1 mol,平衡转化率为$x$,用三段式法计算:
$2NO_2(g)\rightleftharpoons N_2O_4(g)$
起始量/mol 1 0
转化量/mol $x$ $0.5x$
平衡量/mol $1 - x$ $0.5x$
同温同体积时,压强之比等于物质的量之比,则$p(NO_2):p(N_2O_4)=(1 - x):0.5x = 100 kPa:p(N_2O_4)$,则$p(N_2O_4)=\frac{50x}{1 - x} kPa$,因此$K_p=\frac{\frac{50x}{1 - x} kPa}{(100)^2} kPa^{-1}=2.7×10^{-3} kPa^{-1}$,解得$x\approx0.35$,所以$NO_2$的平衡转化率为35%。
解析:假设起始时投入$NO_2$的物质的量为1 mol,平衡转化率为$x$,用三段式法计算:
$2NO_2(g)\rightleftharpoons N_2O_4(g)$
起始量/mol 1 0
转化量/mol $x$ $0.5x$
平衡量/mol $1 - x$ $0.5x$
同温同体积时,压强之比等于物质的量之比,则$p(NO_2):p(N_2O_4)=(1 - x):0.5x = 100 kPa:p(N_2O_4)$,则$p(N_2O_4)=\frac{50x}{1 - x} kPa$,因此$K_p=\frac{\frac{50x}{1 - x} kPa}{(100)^2} kPa^{-1}=2.7×10^{-3} kPa^{-1}$,解得$x\approx0.35$,所以$NO_2$的平衡转化率为35%。
2. 环戊二烯(
)是重要的有机化工原料,广泛用于农药、橡胶、塑料等生产。回答下列问题:

某温度下,等物质的量的碘和环戊烯(
)在刚性容器内发生反应,起始总压为$10^{5}Pa$,平衡时总压增加了$20\%$,环戊烯的转化率为______,该反应的平衡常数$K_{p}=$______ $Pa$。
某温度下,等物质的量的碘和环戊烯(
答案:
40% $3.56×10^4$
解析:假设反应前碘单质与环戊烯均为$n$ mol,平衡时环戊烯反应了$x$ mol,根据题意可知:

始/mol $n$ $n$ 0 0
转/mol $x$ $x$ $x$ $2x$
平/mol $n - x$ $n - x$ $x$ $2x$
则$\frac{2n}{2n + x}=\frac{1}{1.2}$,得$x = 0.4n$,转化率为$\frac{0.4n}{n}×100\% = 40\%$。

$p$(初) $0.5×10^5$ $0.5×10^5$ 0 0
$\Delta p$ $0.5×10^5×40\%$ $0.5×10^5×40\%$ $0.5×10^5×40\%$ $1×10^5×40\%$
$p$(平) $0.3×10^5$ $0.3×10^5$ $0.2×10^5$ $0.4×10^5$
$K_p=\frac{(0.4×10^5)^2×0.2×10^5}{0.3×10^5×0.3×10^5}=3.56×10^4$。
40% $3.56×10^4$
解析:假设反应前碘单质与环戊烯均为$n$ mol,平衡时环戊烯反应了$x$ mol,根据题意可知:
始/mol $n$ $n$ 0 0
转/mol $x$ $x$ $x$ $2x$
平/mol $n - x$ $n - x$ $x$ $2x$
则$\frac{2n}{2n + x}=\frac{1}{1.2}$,得$x = 0.4n$,转化率为$\frac{0.4n}{n}×100\% = 40\%$。
$p$(初) $0.5×10^5$ $0.5×10^5$ 0 0
$\Delta p$ $0.5×10^5×40\%$ $0.5×10^5×40\%$ $0.5×10^5×40\%$ $1×10^5×40\%$
$p$(平) $0.3×10^5$ $0.3×10^5$ $0.2×10^5$ $0.4×10^5$
$K_p=\frac{(0.4×10^5)^2×0.2×10^5}{0.3×10^5×0.3×10^5}=3.56×10^4$。
3. F. Daniels等曾利用测压法在刚性反应器中研究了$25^{\circ}C$时$N_{2}O_{5}(g)$分解反应:

其中$NO_{2}$二聚为$N_{2}O_{4}$的反应可以迅速达到平衡。体系的总压强$p$随时间$t$的变化如下表所示$[t=\infty$时,$N_{2}O_{5}(g)$完全分解$]$

$25^{\circ}C$时$N_{2}O_{4}(g)\rightleftharpoons 2NO_{2}(g)$反应的平衡常数$K_{p}=$
其中$NO_{2}$二聚为$N_{2}O_{4}$的反应可以迅速达到平衡。体系的总压强$p$随时间$t$的变化如下表所示$[t=\infty$时,$N_{2}O_{5}(g)$完全分解$]$
$25^{\circ}C$时$N_{2}O_{4}(g)\rightleftharpoons 2NO_{2}(g)$反应的平衡常数$K_{p}=$
13.4
$kPa$($K_{p}$为以分压表示的平衡常数,计算结果保留$1$位小数)。
答案:
13.4
解析:时间无限长时$N_2O_5$完全分解,故由$2N_2O_5(g)\rightleftharpoons4NO_2(g)+O_2(g)$知,此时生成的$p_{NO_2}=2p_{N_2O_5}=2×35.8$ kPa = 71.6 kPa,$p_{O_2}=0.5×35.8$ kPa = 17.9 kPa。由题意知,平衡时体系的总压强为63.1 kPa,则平衡体系中$NO_2$、$N_2O_4$的压强和为63.1 kPa - 17.9 kPa = 45.2 kPa,设$N_2O_4$的压强为$x$ kPa,则
$N_2O_4(g)\rightleftharpoons2NO_2(g)$
初始压强/kPa 0 71.6
转化压强/kPa $x$ $2x$
平衡压强/kPa $x$ $71.6 - 2x$
则$x+(71.6 - 2x)=45.2$,解得$x = 26.4$,$p(NO_2)=71.6$ kPa - $26.4$ kPa×2 = 18.8 kPa,$K_p=\frac{p^2(NO_2)}{p(N_2O_4)}=\frac{18.8^2}{26.4} kPa\approx13.4 kPa$。
解析:时间无限长时$N_2O_5$完全分解,故由$2N_2O_5(g)\rightleftharpoons4NO_2(g)+O_2(g)$知,此时生成的$p_{NO_2}=2p_{N_2O_5}=2×35.8$ kPa = 71.6 kPa,$p_{O_2}=0.5×35.8$ kPa = 17.9 kPa。由题意知,平衡时体系的总压强为63.1 kPa,则平衡体系中$NO_2$、$N_2O_4$的压强和为63.1 kPa - 17.9 kPa = 45.2 kPa,设$N_2O_4$的压强为$x$ kPa,则
$N_2O_4(g)\rightleftharpoons2NO_2(g)$
初始压强/kPa 0 71.6
转化压强/kPa $x$ $2x$
平衡压强/kPa $x$ $71.6 - 2x$
则$x+(71.6 - 2x)=45.2$,解得$x = 26.4$,$p(NO_2)=71.6$ kPa - $26.4$ kPa×2 = 18.8 kPa,$K_p=\frac{p^2(NO_2)}{p(N_2O_4)}=\frac{18.8^2}{26.4} kPa\approx13.4 kPa$。
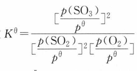
4. 二氧化硫的催化氧化是工业上生产硫酸的主要反应$O_{2}(g)+2SO_{2}(g)\rightleftharpoons 2SO_{3}(g)$。
已知:标准平衡常数
,其中$p^{\theta}$为标准压强$(1×10^{5}Pa)$,$p(SO_{3})$、$p(O_{2})$和$p(SO_{2})$为各组分的平衡分压,如$p(SO_{3})=x(SO_{3})p$,$p$为平衡总压,$x(SO_{3})$为平衡系统中$SO_{3}$的物质的量分数。$SO_{2}$和$O_{2}$起始物质的量之比为$2:1$,反应在恒定温度和标准压强下进行,$SO_{3}$的平衡产率为$w$,则$K^{\theta}=$
已知:标准平衡常数
$\frac{w^2(3 - w)}{(1 - w)^3}$
(用含$w$的最简式表示)。
答案:
$\frac{w^2(3 - w)}{(1 - w)^3}$
解析:设$SO_2$和$O_2$起始物质的量为2 mol和1 mol,由$SO_3$的平衡产率为$w$可知,平衡时$SO_3$的物质的量为$2w$ mol,由题意建立如下三段式:
$O_2(g)+2SO_2(g)\rightleftharpoons2SO_3(g)$
起(mol) 1 2 0
变(mol) $w$ $2w$ $2w$
平(mol) $1 - w$ $2 - 2w$ $2w$
由三段式可得$p(SO_3)$、$p(O_2)$和$p(SO_2)$分别为$\frac{2w}{3 - w}× p^{\theta}$、$\frac{1 - w}{3 - w}× p^{\theta}$、$\frac{2 - 2w}{3 - w}× p^{\theta}$,则标准平衡常数$K^{\theta}=\frac{(\frac{p(SO_3)}{p^{\theta}})^2}{(\frac{p(SO_2)}{p^{\theta}})^2×(\frac{p(O_2)}{p^{\theta}})}=\frac{(\frac{2w}{3 - w})^2}{(\frac{2 - 2w}{3 - w})^2×(\frac{1 - w}{3 - w})}=\frac{w^2(3 - w)}{(1 - w)^3}$。
解析:设$SO_2$和$O_2$起始物质的量为2 mol和1 mol,由$SO_3$的平衡产率为$w$可知,平衡时$SO_3$的物质的量为$2w$ mol,由题意建立如下三段式:
$O_2(g)+2SO_2(g)\rightleftharpoons2SO_3(g)$
起(mol) 1 2 0
变(mol) $w$ $2w$ $2w$
平(mol) $1 - w$ $2 - 2w$ $2w$
由三段式可得$p(SO_3)$、$p(O_2)$和$p(SO_2)$分别为$\frac{2w}{3 - w}× p^{\theta}$、$\frac{1 - w}{3 - w}× p^{\theta}$、$\frac{2 - 2w}{3 - w}× p^{\theta}$,则标准平衡常数$K^{\theta}=\frac{(\frac{p(SO_3)}{p^{\theta}})^2}{(\frac{p(SO_2)}{p^{\theta}})^2×(\frac{p(O_2)}{p^{\theta}})}=\frac{(\frac{2w}{3 - w})^2}{(\frac{2 - 2w}{3 - w})^2×(\frac{1 - w}{3 - w})}=\frac{w^2(3 - w)}{(1 - w)^3}$。
查看更多完整答案,请扫码查看