第23页
- 第1页
- 第2页
- 第3页
- 第4页
- 第5页
- 第6页
- 第7页
- 第8页
- 第9页
- 第10页
- 第11页
- 第12页
- 第13页
- 第14页
- 第15页
- 第16页
- 第17页
- 第18页
- 第19页
- 第20页
- 第21页
- 第22页
- 第23页
- 第24页
- 第25页
- 第26页
- 第27页
- 第28页
- 第29页
- 第30页
- 第31页
- 第32页
- 第33页
- 第34页
- 第35页
- 第36页
- 第37页
- 第38页
- 第39页
- 第40页
- 第41页
- 第42页
- 第43页
- 第44页
- 第45页
- 第46页
- 第47页
- 第48页
- 第49页
- 第50页
- 第51页
- 第52页
- 第53页
- 第54页
- 第55页
- 第56页
- 第57页
- 第58页
- 第59页
- 第60页
- 第61页
- 第62页
- 第63页
- 第64页
- 第65页
- 第66页
- 第67页
- 第68页
- 第69页
- 第70页
- 第71页
- 第72页
- 第73页
- 第74页
- 第75页
- 第76页
- 第77页
- 第78页
- 第79页
- 第80页
- 第81页
- 第82页
- 第83页
- 第84页
- 第85页
- 第86页
- 第87页
- 第88页
- 第89页
- 第90页
- 第91页
- 第92页
- 第93页
- 第94页
- 第95页
- 第96页
- 第97页
- 第98页
- 第99页
- 第100页
- 第101页
- 第102页
- 第103页
- 第104页
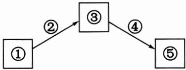
例 2 如图是反射弧五个组成部分关系示意图,下列反射与其反射弧组成部分对应关系不正确的是( )

A.缩手的反射——③位于脊髓
B.吃酸杏分泌唾液——⑤是唾液腺
C.司机看到红灯刹车——①是视神经
D.膝跳反射——①是膝盖下方的韧带
答案:C
思路解析:缩手的反射是非条件反射,③神经中枢位于脊髓,A 正确。吃酸杏分泌唾液,⑤效应器是唾液腺,B 正确。司机看到红灯刹车,①感受器是视网膜,②传入神经是视神经,C 错误。膝跳反射是非条件反射,①感受器是膝盖下方的韧带,D 正确。故选 C。
A.缩手的反射——③位于脊髓
B.吃酸杏分泌唾液——⑤是唾液腺
C.司机看到红灯刹车——①是视神经
D.膝跳反射——①是膝盖下方的韧带
答案:C
思路解析:缩手的反射是非条件反射,③神经中枢位于脊髓,A 正确。吃酸杏分泌唾液,⑤效应器是唾液腺,B 正确。司机看到红灯刹车,①感受器是视网膜,②传入神经是视神经,C 错误。膝跳反射是非条件反射,①感受器是膝盖下方的韧带,D 正确。故选 C。
答案:
C
1. 人体能对外界或内部的各种刺激作出反应,调节这些生命活动的基本方式是( )
A.脊髓
B.反射
C.运动
D.神经中枢
A.脊髓
B.反射
C.运动
D.神经中枢
答案:
B
2. 下列现象中,属于反射的是( )
A.同学们听到铃声走进教室
B.澄清的石灰水遇二氧化碳变浑浊
C.钟乳石慢慢长大
D.葵花朵朵向太阳
A.同学们听到铃声走进教室
B.澄清的石灰水遇二氧化碳变浑浊
C.钟乳石慢慢长大
D.葵花朵朵向太阳
答案:
A
3. 同学们在课堂上体验了膝跳反射,但实验中某些受试者的小腿没有反应。下列对此现象的分析错误的是( )
A.可能是因为叩击的位置不准确
B.可能是因为神经系统有病变
C.一定是因为受试者之前没有练习过
D.可能是因为受试者过于紧张,大脑不自觉地下达了命令,阻碍了膝跳反射
A.可能是因为叩击的位置不准确
B.可能是因为神经系统有病变
C.一定是因为受试者之前没有练习过
D.可能是因为受试者过于紧张,大脑不自觉地下达了命令,阻碍了膝跳反射
答案:
C
查看更多完整答案,请扫码查看