2025年课堂精练八年级数学上册北师大版
注:目前有些书本章节名称可能整理的还不是很完善,但都是按照顺序排列的,请同学们按照顺序仔细查找。练习册 2025年课堂精练八年级数学上册北师大版 答案主要是用来给同学们做完题方便对答案用的,请勿直接抄袭。
第83页
- 第2页
- 第3页
- 第4页
- 第5页
- 第6页
- 第7页
- 第8页
- 第9页
- 第10页
- 第11页
- 第12页
- 第13页
- 第14页
- 第15页
- 第16页
- 第17页
- 第18页
- 第19页
- 第20页
- 第21页
- 第22页
- 第23页
- 第24页
- 第25页
- 第26页
- 第27页
- 第28页
- 第29页
- 第30页
- 第31页
- 第32页
- 第33页
- 第34页
- 第35页
- 第36页
- 第37页
- 第38页
- 第39页
- 第40页
- 第41页
- 第42页
- 第43页
- 第44页
- 第45页
- 第46页
- 第47页
- 第48页
- 第49页
- 第50页
- 第51页
- 第52页
- 第53页
- 第54页
- 第55页
- 第56页
- 第57页
- 第58页
- 第59页
- 第60页
- 第61页
- 第62页
- 第63页
- 第64页
- 第65页
- 第66页
- 第67页
- 第68页
- 第69页
- 第70页
- 第71页
- 第72页
- 第73页
- 第74页
- 第75页
- 第76页
- 第77页
- 第78页
- 第79页
- 第80页
- 第81页
- 第82页
- 第83页
- 第84页
- 第85页
- 第86页
- 第87页
- 第88页
- 第89页
- 第90页
- 第91页
- 第92页
- 第93页
- 第94页
- 第95页
- 第96页
- 第97页
- 第98页
- 第99页
- 第100页
1. 二元一次方程与一次函数的关系
二元一次方程有
二元一次方程有
无数
个解,以这些解为坐标的点组成的图象与其相应的一次
函数的图象相同
。
答案:
无数 一次 相同
2. 二元一次方程组与一次函数的关系
求两条直线 $ l_{1}:y = k_{1}x + b_{1}(k_{1} \neq 0) $,$ l_{2}:y = k_{2}x + b_{2}(k_{2} \neq 0) $ 的交点,就是解关于 $ x $,$ y $ 的方程组
如果两个一次函数的图象没有
求两条直线 $ l_{1}:y = k_{1}x + b_{1}(k_{1} \neq 0) $,$ l_{2}:y = k_{2}x + b_{2}(k_{2} \neq 0) $ 的交点,就是解关于 $ x $,$ y $ 的方程组
$\left\{\begin{array}{l} y=k_{1}x+b_{1},\\ y=k_{2}x+b_{2}\end{array}\right. $
。两条相交直线只有一个交点,对应的二元一次方程组只有一个解
,反之也成立。如果两个一次函数的图象没有
交点
,那么对应的二元一次方程组无解,反之也成立。
答案:
$\left\{\begin{array}{l} y=k_{1}x+b_{1},\\ y=k_{2}x+b_{2}\end{array}\right. $ 解 交点
1. 已知方程组 $ \begin{cases} 2x + y = 3, \\ x + 2y = 3 \end{cases} $ 的解为 $ \begin{cases} x = 1, \\ y = 1, \end{cases} $ 则函数 $ y = -2x + 3 $ 与 $ y = -\frac{1}{2}x + \frac{3}{2} $ 的图象的交点坐标为(
A.$ (1,1) $
B.$ (-1,1) $
C.$ (1,-1) $
D.$ (-1,-1) $
A
)。A.$ (1,1) $
B.$ (-1,1) $
C.$ (1,-1) $
D.$ (-1,-1) $
答案:
A
2. 若一次函数 $ y = 3x + 6 $ 与 $ y = 2x - 4 $ 的图象的交点坐标为 $ (a,b) $,则解是 $ \begin{cases} x = a, \\ y = b \end{cases} $ 的方程组是(
A.$ \begin{cases} y - 3x = 6, \\ 2x + y = -4 \end{cases} $
B.$ \begin{cases} 3x + y + 6 = 0, \\ 2x - 4 - y = 0 \end{cases} $
C.$ \begin{cases} 3x - y = -6, \\ 2x - y - 4 = 0 \end{cases} $
D.$ \begin{cases} 3x - y = 6, \\ 2x - y = 4 \end{cases} $
C
)。A.$ \begin{cases} y - 3x = 6, \\ 2x + y = -4 \end{cases} $
B.$ \begin{cases} 3x + y + 6 = 0, \\ 2x - 4 - y = 0 \end{cases} $
C.$ \begin{cases} 3x - y = -6, \\ 2x - y - 4 = 0 \end{cases} $
D.$ \begin{cases} 3x - y = 6, \\ 2x - y = 4 \end{cases} $
答案:
C
3. 若一次函数 $ y = k_{1}x + b_{1} $ 与 $ y = k_{2}x + b_{2} $ 的图象没有交点,则方程组 $ \begin{cases} y = k_{1}x + b_{1}, \\ y = k_{2}x + b_{2} \end{cases} $ 的解的情况是(
A.有无数个解
B.有两个解
C.只有一个解
D.没有解
D
)。A.有无数个解
B.有两个解
C.只有一个解
D.没有解
答案:
D
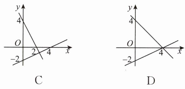
4. 下面四条直线,其中直线上每个点的坐标都是二元一次方程 $ x - 2y = 2 $ 的解的是(




C
)。
答案:
C
5. 若正比例函数 $ y = kx $ 的图象经过直线 $ y = x + 1 $ 与 $ y = 3x + 5 $ 的交点,则 $ y = kx $ 的图象位于(
A.第一、三象限
B.第二、四象限
C.第一、二象限
D.第一、二、三象限
A
)。A.第一、三象限
B.第二、四象限
C.第一、二象限
D.第一、二、三象限
答案:
A
6. 如图,已知函数 $ y = ax + b $ 和 $ y = kx $ 的图象交于点 $ P $,则根据图象,可得关于 $ x $,$ y $ 的二元一次方程组 $ \begin{cases} y = ax + b, \\ y = kx \end{cases} $ 的解是

$\left\{\begin{array}{l} x=-4,\\ y=-2\end{array}\right. $
。
答案:
$\left\{\begin{array}{l} x=-4,\\ y=-2\end{array}\right. $
7. 用图象法解方程组 $ \begin{cases} x - 2y = 4, \\ 2x + y = 4 \end{cases} $ 时,下图中正确的是(

C
)。
答案:
C
查看更多完整答案,请扫码查看