一、不计算,把每组方程中代表数值最大的字母圈出来。
1. $\begin{cases}x + 5 = 20 & y - 5 = 20 \\ 4m = 10 & n ÷ 4 = 20\end{cases} $
2. $\begin{cases}0.5 + n = 2.5 & m - 0.5 = 2.5 \\ 0.5x = 2.5 & y ÷ 0.5 = 2.5\end{cases} $
3. $\begin{cases}x + 2 = 15 & y - 2 = 15 \\ 2m = 15 & n ÷ 2 = 15\end{cases} $
1. $\begin{cases}x + 5 = 20 & y - 5 = 20 \\ 4m = 10 & n ÷ 4 = 20\end{cases} $
2. $\begin{cases}0.5 + n = 2.5 & m - 0.5 = 2.5 \\ 0.5x = 2.5 & y ÷ 0.5 = 2.5\end{cases} $
3. $\begin{cases}x + 2 = 15 & y - 2 = 15 \\ 2m = 15 & n ÷ 2 = 15\end{cases} $
答案:
1.n 2.x 3.n
二、解方程(带※号的要验算)。
$0.19x = 3.8$ $x ÷ 6 = 12$
$21.5 + x = 47.8$ ※$2.5x = 100$
※$4.2 ÷ x = 7$ ※$26 - x = 3.5$
$4.8x = 144$ $5(x - 2) = 45$
$0.19x = 3.8$ $x ÷ 6 = 12$
$21.5 + x = 47.8$ ※$2.5x = 100$
※$4.2 ÷ x = 7$ ※$26 - x = 3.5$
$4.8x = 144$ $5(x - 2) = 45$
答案:
x=20,x=72,x=26.3,x=40,x=0.6,x=22.5,x=30,x=11(验算略)
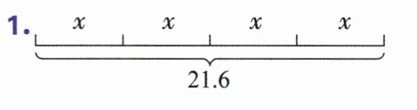
三、看图列方程,并求出方程的解。
1.

2.

3.

4.

5.

6.

1.
2.
3.
4.
5.
6.
答案:
1.4x=21.6,x=5.4 2.x+6.3=23.9,x=17.6 3.5y=180,y=36 4.5x=600,x=120 5.8z=250,z=31.25 6.3x+50=200,x=50
1. $a + a + b + b + b = 105$,$a + a + b + b = 84$,则$a = $(
21
),$b = $(21
)。
答案:
21,21
2. 如果方程$ax - 1.5 = 6的解是x = 2.5$,那么$a = $(
3
)。
答案:
3
3. $x + x + y = 45$,$x + y + y = 39$,$x = $(
17
),$y = $(11
)。
答案:
17,11
4. 若$3m + 2n = 50$,$2m + 3n = 55$,$m = $(
8
),$n = $(13
)。
答案:
8,13
查看更多完整答案,请扫码查看