第70页
- 第1页
- 第2页
- 第3页
- 第4页
- 第5页
- 第6页
- 第7页
- 第8页
- 第9页
- 第10页
- 第11页
- 第12页
- 第13页
- 第14页
- 第15页
- 第16页
- 第17页
- 第18页
- 第19页
- 第20页
- 第21页
- 第22页
- 第23页
- 第24页
- 第25页
- 第26页
- 第27页
- 第28页
- 第29页
- 第30页
- 第31页
- 第32页
- 第33页
- 第34页
- 第35页
- 第36页
- 第37页
- 第38页
- 第39页
- 第40页
- 第41页
- 第42页
- 第43页
- 第44页
- 第45页
- 第46页
- 第47页
- 第48页
- 第49页
- 第50页
- 第51页
- 第52页
- 第53页
- 第54页
- 第55页
- 第56页
- 第57页
- 第58页
- 第59页
- 第60页
- 第61页
- 第62页
- 第63页
- 第64页
- 第65页
- 第66页
- 第67页
- 第68页
- 第69页
- 第70页
- 第71页
- 第72页
- 第73页
- 第74页
- 第75页
- 第76页
- 第77页
- 第78页
- 第79页
- 第80页
- 第81页
- 第82页
- 第83页
- 第84页
- 第85页
- 第86页
- 第87页
- 第88页
- 第89页
- 第90页
- 第91页
思维导图

答案:
受精卵;细胞;上皮;肌肉;神经;结缔;器官;系统;运动;消化;呼吸;循环;泌尿;神经;内分泌;生殖
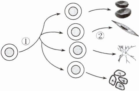
1. 下列有关如图所示的细胞生命活动的叙述,错误的是(

A.①过程表示细胞分裂,②过程表示细胞分化
B.①过程产生的细胞和原细胞含有相同的遗传物质
C.②过程产生的细胞,形态、结构和功能发生改变
D.生物体仅通过②过程就可形成各种组织
D
)A.①过程表示细胞分裂,②过程表示细胞分化
B.①过程产生的细胞和原细胞含有相同的遗传物质
C.②过程产生的细胞,形态、结构和功能发生改变
D.生物体仅通过②过程就可形成各种组织
答案:
1.D
2. 人体的血液和骨组织属于(
A.神经组织
B.肌肉组织
C.上皮组织
D.结缔组织
D
)A.神经组织
B.肌肉组织
C.上皮组织
D.结缔组织
答案:
2.D
3. 下列分析正确的是(
A.人体的结构层次中,细胞构成组织,组织构成器官,不同的器官构成人体
B.不同的组织是受精卵通过不断分裂形成的,分裂后的遗传物质没有改变
C.皮肤、血液属于组织这一结构层次,心脏、血管、血液构成循环系统
D.人体有四种组织,其中肌肉组织具有受到刺激而收缩的特性
D
)A.人体的结构层次中,细胞构成组织,组织构成器官,不同的器官构成人体
B.不同的组织是受精卵通过不断分裂形成的,分裂后的遗传物质没有改变
C.皮肤、血液属于组织这一结构层次,心脏、血管、血液构成循环系统
D.人体有四种组织,其中肌肉组织具有受到刺激而收缩的特性
答案:
3.D
4. 细胞分化是当今生物学研究的热点之一。下列关于细胞分化的叙述正确的是(
A.细胞分化导致细胞数目、种类增多
B.细胞分化是形成不同组织的根本原因
C.分化的细胞不再进行细胞的分裂和生长
D.细胞分化导致细胞内的遗传物质发生变化
B
)A.细胞分化导致细胞数目、种类增多
B.细胞分化是形成不同组织的根本原因
C.分化的细胞不再进行细胞的分裂和生长
D.细胞分化导致细胞内的遗传物质发生变化
答案:
4.B
5. 生物体由小长大,是与细胞的生长、分裂和分化分不开的。如图表示与动物体由小长大有关的部分过程。相关表述正确的是(

A.①过程表示细胞的分裂
B.②过程表示细胞的分化
C.③过程表示细胞的生长
D.④过程表示细胞的分化
D
)A.①过程表示细胞的分裂
B.②过程表示细胞的分化
C.③过程表示细胞的生长
D.④过程表示细胞的分化
答案:
5.D
查看更多完整答案,请扫码查看