第34页
- 第1页
- 第2页
- 第3页
- 第4页
- 第5页
- 第6页
- 第7页
- 第8页
- 第9页
- 第10页
- 第11页
- 第12页
- 第13页
- 第14页
- 第15页
- 第16页
- 第17页
- 第18页
- 第19页
- 第20页
- 第21页
- 第22页
- 第23页
- 第24页
- 第25页
- 第26页
- 第27页
- 第28页
- 第29页
- 第30页
- 第31页
- 第32页
- 第33页
- 第34页
- 第35页
- 第36页
- 第37页
- 第38页
- 第39页
- 第40页
- 第41页
- 第42页
- 第43页
- 第44页
- 第45页
- 第46页
- 第47页
- 第48页
- 第49页
- 第50页
- 第51页
- 第52页
- 第53页
- 第54页
- 第55页
- 第56页
- 第57页
- 第58页
- 第59页
- 第60页
- 第61页
- 第62页
- 第63页
- 第64页
- 第65页
- 第66页
- 第67页
- 第68页
- 第69页
- 第70页
- 第71页
- 第72页
- 第73页
- 第74页
- 第75页
- 第76页
- 第77页
- 第78页
- 第79页
- 第80页
1. 核外电子是
分层
排布的,最多有七个电子层,离核最近的电子层为第一层
,最多容纳2
个电子;离核最远的电子层又叫最外层
,电子数一般不超过8
个。
答案:
分层 第一层 2 最外层 8
2. 稀有气体的原子最外层一般是
8
个电子(氦原子最外层2
个电子),属于相对稳定
结构;金属原子最外层电子数一般少于4个
,在化学反应中易失去
电子;非金属原子最外层电子数一般多于4个
,在化学反应中易得到
电子。
答案:
8 2 相对稳定 少于4个 失去 多于4个 得到
3. 下列有关核外电子排布的叙述中,错误的是(
A.能量较高的电子在离核较近的区域运动
B.原子最外层电子数一般不超过 8 个
C.可以把核外电子运动的不同区域看成不同的电子层
D.核外电子总是先排布在离核最近的电子层,排满后再排下一层
A
)A.能量较高的电子在离核较近的区域运动
B.原子最外层电子数一般不超过 8 个
C.可以把核外电子运动的不同区域看成不同的电子层
D.核外电子总是先排布在离核最近的电子层,排满后再排下一层
答案:
A
4. (2023 年内江市)如图为铝原子结构示意图。下列有关铝原子的说法正确的是(

A.图中“+”表示铝原子带正电
B.铝原子的质量主要集中在核外 13 个电子上
C.铝原子在化学反应中易得到电子
D.铝原子核外有 3 个电子层
D
)A.图中“+”表示铝原子带正电
B.铝原子的质量主要集中在核外 13 个电子上
C.铝原子在化学反应中易得到电子
D.铝原子核外有 3 个电子层
答案:
D
5. (原创题)右图是

氧
原子的结构示意图,图中圆圈表示原子核
,圈内的“+8”表示核内有8个带正电的质子(或核电荷数为8)
,弧线表示电子层
,数字“6”表示氧原子最外层有6个电子
。该原子是一种典型的非金属
(选填“金属”或“非金属”)原子,在化学变化中容易得到
电子。
答案:
氧 原子核 核内有8个带正电的质子(或核电荷数为8) 电子层 氧原子最外层有6个电子 非金属 得到
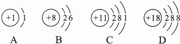
6. 下列原子结构示意图中,表示相对稳定结构的是(

D
)
答案:
D
7. 下列原子在化学反应中易得到电子的是(

C
)
答案:
C
8. (2023 年随州市)与原子的化学性质关系最密切的是(
A.相对原子质量
B.原子的核电荷数
C.原子的核外电子数
D.原子的最外层电子数
D
)A.相对原子质量
B.原子的核电荷数
C.原子的核外电子数
D.原子的最外层电子数
答案:
D
9. 根据下列各组粒子结构示意图判断,化学性质相似的一组是(

A
)
答案:
A
10. 原子结构中,最外层电子数是 2 的原子是(
A.非金属原子
B.金属原子
C.稀有气体原子
D.可能是金属原子或稀有气体原子
D
)A.非金属原子
B.金属原子
C.稀有气体原子
D.可能是金属原子或稀有气体原子
答案:
D
查看更多完整答案,请扫码查看