8. 一端封闭的两个完全相同的玻璃管(如图所示),甲中装水,乙中装食用油。两个完全相同的金属小球从O处由静止释放,下落到P处,小球在食用油中下落的时间更长。比较两小球从O处到P处的下落情况,小球()

A. 重力势能变化量不相同
B. 获得的动能相同
C. 在食用油中重力做功慢
D. 机械能不变
A. 重力势能变化量不相同
B. 获得的动能相同
C. 在食用油中重力做功慢
D. 机械能不变
答案:
8. C 解析:两个完全相同的金属小球从 $ O $ 处静止释放,下落到 $ P $ 处,下落的高度相同,小球的质量相同,则小球的重力势能变化量相同,故 A 错误;小球在食用油中下落的时间更长,则小球在食用油中的速度小,质量相同,则小球在食用油中的动能小,故 B 错误;小球的质量相同,重力相同,由 $ P = \frac{W}{t} = \frac{Gh}{t} = Gv $ 可知,小球在食用油中重力做功慢,故 C 正确;小球在运动过程中受到液体的阻力,克服阻力做功,一部分机械能转化为内能,所以机械能会变小,故 D 错误。
9. 一根粗细均匀的木棒斜靠在竖直墙壁上,墙壁光滑、地面粗糙,木棒受到的重力为G,墙壁对木棒的弹力为F,如图所示。现让木棒的倾斜程度变小一些至虚线所示位置,木棒仍能静止斜靠在墙上。则与原来相比,G和F的变化情况为()

A. G不变 F变小
B. G不变 F变大
C. G变化 F变小
D. G变化 F变大
A. G不变 F变小
B. G不变 F变大
C. G变化 F变小
D. G变化 F变大
答案:
9. B 解析:以木棒与地面的接触点为支点,木棒可看作杠杆,设木棒与墙壁的接触点到地面的距离为 $ h $,木棒与地面的接触点到墙壁的距离为 $ L $,则木棒重力 $ G $ 的力臂为 $ \frac{1}{2}L $,由杠杆的平衡条件可得 $ Fh = G \times \frac{1}{2}L $,解得 $ F = \frac{GL}{2h} $。现让木棒的倾斜程度变小一些至虚线所示位置,则 $ G $ 不变、 $ L $ 变大、 $ h $ 变小,由 $ F = \frac{GL}{2h} $ 可知, $ F $ 会变大,故 B 正确。
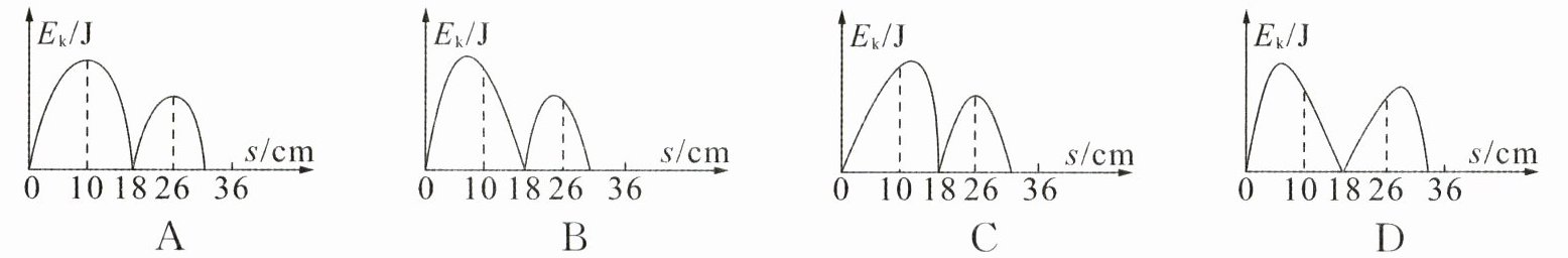
10. 如图所示,在粗糙的水平面上,一轻质弹簧左端固定,右端连接一金属块,O点是弹簧原长位置,开始时拉动金属块到A位置释放,在弹簧的作用下,金属块经过O点、到达B点后返回,最终静止在C点。已知AO= 10cm,OB= 8cm,则从A点释放金属块开始运动的过程中,其动能$E_k$与运动路程s之间的关系图像可能是下列图中的()


答案:
10. B 解析:由图可知,金属块的动能在 $ A $ 点时最小为 $ 0 $,当向左运动到 $ O $ 点右侧的平衡位置时,所受弹力等于摩擦力,速度达到最大,动能最大,即在运动路程 $ s $ 到达 $ 10 \, \text{cm} $ 之前,动能达到最大,故 A、C 错误;金属块到达 $ B $ 点后返回,即运动路程 $ s $ 为 $ 18 \, \text{cm} $ 时动能为零,在向右运动的过程中,运动到 $ O $ 点左侧的平衡位置时,所受弹力等于摩擦力,速度达到最大,动能最大,即在运动路程 $ s $ 到达 $ 26 \, \text{cm} $ 之前,动能达到最大,故 B 正确、D 错误。
11. 如图所示,小孩和篮子的总质量为15kg,使用O点的提纽称量,调整秤砣的位置,使杆秤水平平衡(忽略绳和杆重),此时OA= 4cm,OC= 12cm。下列说法错误的是()

A. 该秤砣的质量为5kg
B. 若使用B点的提纽称量,杆秤的量程变小
C. 若秤砣上沾有泥土,则称量结果偏小
D. 该杆秤上的刻度是不均匀的
A. 该秤砣的质量为5kg
B. 若使用B点的提纽称量,杆秤的量程变小
C. 若秤砣上沾有泥土,则称量结果偏小
D. 该杆秤上的刻度是不均匀的
答案:
11. D 解析:作用在杆秤 $ A $ 点的力等于小孩和篮子的总重力,作用在杆秤 $ C $ 点的力等于秤砣的重力,由杠杆平衡条件可得 $ m_{\text{人和篮}} g \times OA = m_{\text{秤砣}} g \times OC $,即 $ 15 \, \text{kg} \times g \times 4 \, \text{cm} = m_{\text{秤砣}} g \times 12 \, \text{cm} $,解得 $ m_{\text{秤砣}} = 5 \, \text{kg} $,故 A 正确;当秤砣移至最右端时称量物体的质量最大,由杠杆平衡条件可得 $ m_{\text{物}} g L_{\text{物}} = m_{\text{秤砣}} g L_{\text{秤砣}} $,化简得 $ m_{\text{物}} = \frac{m_{\text{秤砣}} L_{\text{秤砣}}}{L_{\text{物}}} $,若使用 $ B $ 点的提纽称量,即 $ L_{\text{物}} $ 变大, $ L_{\text{秤砣}} $ 变小, $ m_{\text{秤砣}} $ 不变,则 $ m_{\text{物}} $ 的最大值变小,即杆秤的量程变小,故 B 正确;由杠杆平衡条件可得 $ m_{\text{人和篮}} g \times OA = m_{\text{秤砣}} g \times OC $,若秤砣上沾有泥土,即 $ m_{\text{秤砣}} $ 偏大,则 $ OC $ 偏小,即称量结果偏小,故 C 正确;用杆秤称量物体质量时有 $ m_{\text{物}} = \frac{m_{\text{秤砣}} L_{\text{秤砣}}}{L_{\text{物}}} $,由数学知识可知, $ L_{\text{秤砣}} $ 与 $ m_{\text{物}} $ 成正比,所以该杆秤的刻度是均匀的,故 D 错误。
12. 新趋势 传统文化(2024·安徽三模)《墨经·经下》里记载了一种斜面引重车。如图,系紧在后轮轴上的绳索,绕过斜面顶端的滑轮与斜面上的重物连接。若用该引重车将重为2000N的木箱从斜面底端匀速拉到顶端,已知斜面长2m、高0.8m。后轮轴施加在绳子上的力为1000N(不计绳重、滑轮与轴间的摩擦),则下列说法错误的是()

A. 实际测量,发现人施加在车上的推力比绳子上的拉力小很多,说明车子后轮是一种省力机械
B. 斜面的机械效率为80%
C. 此木箱与斜面之间的摩擦力是1000N
D. 拉升木箱的过程中,人至少要做2000J的功
A. 实际测量,发现人施加在车上的推力比绳子上的拉力小很多,说明车子后轮是一种省力机械
B. 斜面的机械效率为80%
C. 此木箱与斜面之间的摩擦力是1000N
D. 拉升木箱的过程中,人至少要做2000J的功
答案:
12. C 解析:车子后轮在该装置中是一个轮轴,人施加在车上的推力作用在轮上,绳子上的拉力作用在轴上,并且施加在车上的推力小于绳子上的拉力,可见车子后轮是一种省力机械,故 A 正确;将木箱从斜面底端匀速拉到顶端,所做的有用功 $ W_{\text{有用}} = Gh = 2000 \, \text{N} \times 0.8 \, \text{m} = 1600 \, \text{J} $,总功 $ W_{\text{总}} = Fs = 1000 \, \text{N} \times 2 \, \text{m} = 2000 \, \text{J} $,则拉升木箱的过程中,人至少要做 $ 2000 \, \text{J} $ 的功,斜面的机械效率 $ \eta = \frac{W_{\text{有用}}}{W_{\text{总}}} \times 100\% = \frac{1600 \, \text{J}}{2000 \, \text{J}} \times 100\% = 80\% $,故 B、D 正确;木箱从斜面底端匀速拉到顶端过程中,额外功为克服摩擦力做的功,则 $ W_{\text{额外}} = W_{\text{总}} - W_{\text{有用}} = fs $,所以此木箱与斜面之间的摩擦力 $ f = \frac{W_{\text{总}} - W_{\text{有用}}}{s} = \frac{2000 \, \text{J} - 1600 \, \text{J}}{2 \, \text{m}} = 200 \, \text{N} $,故 C 错误。
查看更多完整答案,请扫码查看