第56页
- 第1页
- 第2页
- 第3页
- 第4页
- 第5页
- 第6页
- 第7页
- 第8页
- 第9页
- 第10页
- 第11页
- 第12页
- 第13页
- 第14页
- 第15页
- 第16页
- 第17页
- 第18页
- 第19页
- 第20页
- 第21页
- 第22页
- 第23页
- 第24页
- 第25页
- 第26页
- 第27页
- 第28页
- 第29页
- 第30页
- 第31页
- 第32页
- 第33页
- 第34页
- 第35页
- 第36页
- 第37页
- 第38页
- 第39页
- 第40页
- 第41页
- 第42页
- 第43页
- 第44页
- 第45页
- 第46页
- 第47页
- 第48页
- 第49页
- 第50页
- 第51页
- 第52页
- 第53页
- 第54页
- 第55页
- 第56页
- 第57页
- 第58页
- 第59页
- 第60页
- 第61页
- 第62页
- 第63页
- 第64页
- 第65页
- 第66页
- 第67页
- 第68页
- 第69页
- 第70页
- 第71页
- 第72页
- 第73页
- 第74页
- 第75页
- 第76页
- 第77页
- 第78页
- 第79页
- 第80页
- 第81页
- 第82页
- 第83页
- 第84页
- 第85页
- 第86页
- 第87页
- 第88页
8.教材变式 (2024山东山亭期中)《蛙声十里出山泉》是齐白石先生的一幅国画名作,画中只有几只活泼的蝌蚪,却不见青蛙,“蛙声”巧妙地展示了二者的关系。下列叙述正确的是(B7241003) ( )
A.这幅画构思的巧妙之处在于抓住了青蛙的发育必须经过蝌蚪阶段
B.青蛙的生殖可以离开水
C.蝌蚪和成蛙形态相似
D.青蛙鸣叫是一种防御行为
A.这幅画构思的巧妙之处在于抓住了青蛙的发育必须经过蝌蚪阶段
B.青蛙的生殖可以离开水
C.蝌蚪和成蛙形态相似
D.青蛙鸣叫是一种防御行为
答案:
A
9.(2024黑龙江齐齐哈尔中考,20,★☆☆)下列关于家蚕、蝗虫和青蛙生殖发育的叙述,正确的是(B7241003) ( )
A.青蛙是体内受精,水中发育
B.蝗虫的发育经过蛹期
C.它们的生殖方式都是有性生殖
D.家蚕和青蛙的发育过程属于完全变态发育
A.青蛙是体内受精,水中发育
B.蝗虫的发育经过蛹期
C.它们的生殖方式都是有性生殖
D.家蚕和青蛙的发育过程属于完全变态发育
答案:
C
10.(2023山东枣庄中考,12,★☆☆)青蛙能够捕食蝗虫等农田害虫,被称为“农田卫士”。有关青蛙与蝗虫的叙述错误的是 ( )
A.雄蛙鸣叫是为了吸引雌蛙
B.青蛙的发育是变态发育
C.蝗虫的发育是不完全变态发育
D.蝗虫与青蛙的呼吸器官都是肺
A.雄蛙鸣叫是为了吸引雌蛙
B.青蛙的发育是变态发育
C.蝗虫的发育是不完全变态发育
D.蝗虫与青蛙的呼吸器官都是肺
答案:
D
11.(2024山东泗水期中,20,★☆☆)小湍蛙是我国的特有物种,分布于海南等地。下列有关小湍蛙的叙述,不正确的是(B7241003) ( )
A.小湍蛙是两栖动物,幼体生活在水中,成体既可以生活在水中,也可以生活在陆地上
B.小湍蛙成体有四肢无尾
C.小湍蛙雌雄蛙的抱对与繁殖无关
D.小湍蛙的生殖方式是有性生殖
A.小湍蛙是两栖动物,幼体生活在水中,成体既可以生活在水中,也可以生活在陆地上
B.小湍蛙成体有四肢无尾
C.小湍蛙雌雄蛙的抱对与繁殖无关
D.小湍蛙的生殖方式是有性生殖
答案:
C
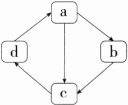
12.(2024山东市中期末,10,★☆☆)如图是动物的变态发育过程示意图,若d为受精卵,相关描述错误的是(B7241003) ( )

A.家蚕发育过程中几乎不食不动的时期为b
B.完全变态发育避免了幼虫和成虫在空间和食物方面的需求矛盾
C.蝗虫的发育过程为d→a→c,属于不完全变态发育
D.两栖动物的发育过程为d→a→b→c,属于完全变态发育
A.家蚕发育过程中几乎不食不动的时期为b
B.完全变态发育避免了幼虫和成虫在空间和食物方面的需求矛盾
C.蝗虫的发育过程为d→a→c,属于不完全变态发育
D.两栖动物的发育过程为d→a→b→c,属于完全变态发育
答案:
D
查看更多完整答案,请扫码查看