2024年暑假培优衔接16讲小学奥数1升2年级
注:目前有些书本章节名称可能整理的还不是很完善,但都是按照顺序排列的,请同学们按照顺序仔细查找。练习册 2024年暑假培优衔接16讲小学奥数1升2年级 答案主要是用来给同学们做完题方便对答案用的,请勿直接抄袭。
第6页
- 第1页
- 第2页
- 第3页
- 第4页
- 第5页
- 第6页
- 第7页
- 第8页
- 第9页
- 第10页
- 第11页
- 第12页
- 第13页
- 第14页
- 第15页
- 第16页
- 第17页
- 第18页
- 第19页
- 第20页
- 第21页
- 第22页
- 第23页
- 第24页
- 第25页
- 第26页
- 第27页
- 第28页
- 第29页
- 第30页
- 第31页
- 第32页
- 第33页
- 第34页
- 第35页
- 第36页
- 第37页
- 第38页
- 第39页
- 第40页
- 第41页
- 第42页
- 第43页
- 第44页
- 第45页
- 第46页
- 第47页
- 第48页
- 第49页
- 第50页
- 第51页
- 第52页
- 第53页
- 第54页
- 第55页
- 第56页
- 第57页
- 第58页
- 第59页
- 第60页
- 第61页
- 第62页
- 第63页
- 第64页
- 第65页
- 第66页
- 第67页
- 第68页
【典例2】在7、6、4、2、1、0这几个数字中,任选两个数字组成两位数,最大的数与最小的数的差是多少?
点拨:要想两位数最大,就选择最大的数字7放在两位数的十位上,再选第二大的数字6放在个位上,得到最大两位数是76。要想数最小,那就要选最小的数字放在十位上,0是最小的数字,但一个数的最高位上不能为0,所以选第二小的数字1放在十位上,将最小的数字0放在个位上,这样得到的最小的两位数为10。
点拨:要想两位数最大,就选择最大的数字7放在两位数的十位上,再选第二大的数字6放在个位上,得到最大两位数是76。要想数最小,那就要选最小的数字放在十位上,0是最小的数字,但一个数的最高位上不能为0,所以选第二小的数字1放在十位上,将最小的数字0放在个位上,这样得到的最小的两位数为10。
答案:
分析:本题考查最大与最小的相关知识。
从这几个数字中选出最大的两个数字,按照从大到小的顺序排列,放在两位数的十位和个位上,可得到最大的两位数。
因为$7\gt 6\gt 4\gt 2\gt 1\gt 0$,所以最大的两位数是$76$。
由于一个数的最高位不能为$0$,所以从剩下的数字中选最小的非零数字$1$放在十位上,$0$放在个位上,可得到最小的两位数$10$。
最大的两位数是$76$,最小的两位数是$10$,它们的差为:$76 - 10 = 66$。
答案:$76 - 10 = 66$。
从这几个数字中选出最大的两个数字,按照从大到小的顺序排列,放在两位数的十位和个位上,可得到最大的两位数。
因为$7\gt 6\gt 4\gt 2\gt 1\gt 0$,所以最大的两位数是$76$。
由于一个数的最高位不能为$0$,所以从剩下的数字中选最小的非零数字$1$放在十位上,$0$放在个位上,可得到最小的两位数$10$。
最大的两位数是$76$,最小的两位数是$10$,它们的差为:$76 - 10 = 66$。
答案:$76 - 10 = 66$。
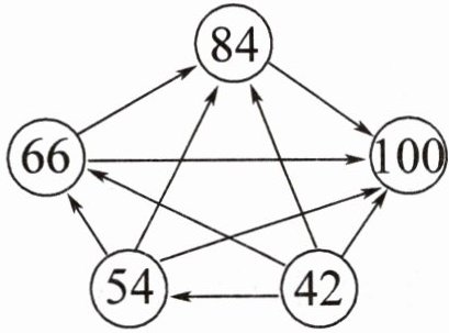
【典例3】把84、100、42、66、54这5个数填到$◯$里,要求每个箭尾的数小于箭头的数。

点拨:将这几个数按从大到小的顺序排列:$100>84>66>54>42$,四个箭头对着的就填最大的数100,三个箭头对着的就填第2个数,两个箭头对着的就填第3个数,一个箭头对着的就填第4个数,没有箭头对着的就填最小的数。
点拨:将这几个数按从大到小的顺序排列:$100>84>66>54>42$,四个箭头对着的就填最大的数100,三个箭头对着的就填第2个数,两个箭头对着的就填第3个数,一个箭头对着的就填第4个数,没有箭头对着的就填最小的数。
答案:
【典例4】

小兔家最多有多少根萝卜?最少有多少根萝卜?
点拨:先将3筐萝卜按根数多少排序:$33>24>22$,然后求最多的根数,就将两筐多的根数合并起来;求最少的根数,就将两筐少的根数合并起来。
小兔家最多有多少根萝卜?最少有多少根萝卜?
点拨:先将3筐萝卜按根数多少排序:$33>24>22$,然后求最多的根数,就将两筐多的根数合并起来;求最少的根数,就将两筐少的根数合并起来。
答案:
解析:本题考查了100以内数的加法计算及应用。
题目中给出了三筐萝卜的数量,分别是24根、33根和22根。
小兔家有两筐萝卜,要求出小兔家最多有多少根萝卜和最少有多少根萝卜。
需要将三筐萝卜的数量进行排序,然后分别将数量最多的两筐和数量最少的两筐相加,即可得出答案。
将三筐萝卜的数量进行排序:$33 \gt 24 \gt 22$。
将数量最多的两筐相加,即可求出小兔家最多有多少根萝卜:
$33 + 24 = 57$(根)。
将数量最少的两筐相加,即可求出小兔家最少有多少根萝卜:
$24 + 22 = 46$(根)。
答案:57根;46根。
题目中给出了三筐萝卜的数量,分别是24根、33根和22根。
小兔家有两筐萝卜,要求出小兔家最多有多少根萝卜和最少有多少根萝卜。
需要将三筐萝卜的数量进行排序,然后分别将数量最多的两筐和数量最少的两筐相加,即可得出答案。
将三筐萝卜的数量进行排序:$33 \gt 24 \gt 22$。
将数量最多的两筐相加,即可求出小兔家最多有多少根萝卜:
$33 + 24 = 57$(根)。
将数量最少的两筐相加,即可求出小兔家最少有多少根萝卜:
$24 + 22 = 46$(根)。
答案:57根;46根。
查看更多完整答案,请扫码查看