2025年一步名校单元测试卷五年级数学上册冀教版
注:目前有些书本章节名称可能整理的还不是很完善,但都是按照顺序排列的,请同学们按照顺序仔细查找。练习册 2025年一步名校单元测试卷五年级数学上册冀教版 答案主要是用来给同学们做完题方便对答案用的,请勿直接抄袭。
1. 下列算式中,得数大于1的是(
A.$0.99×0.9$
B.$0.99×1$
C.$0.99÷1$
D.$1÷0.99$
D
)。A.$0.99×0.9$
B.$0.99×1$
C.$0.99÷1$
D.$1÷0.99$
答案:
1.D
2. 下面各数中,最大的数是(
A.3.81
B.$3.8181······$
C.$3.888······$
D.3.8
C
)。A.3.81
B.$3.8181······$
C.$3.888······$
D.3.8
答案:
2.C
3. 得数要求保留三位小数,计算时应算到小数点后面第(
A.二
B.三
C.四
D.五
C
)位。A.二
B.三
C.四
D.五
答案:
3.C
4. (邢台市威县·期末)$a÷ b=3.5$,当a扩大10倍,b缩小$\frac{1}{10}$时,商是(
A.3.5
B.35
C.350
C
)。A.3.5
B.35
C.350
答案:
4.C
5. 如果$A×0.99=B÷0.99$(A,B不等于0),那么(
A.$A=B$
B.$A>B$
C.$A<B$
D.无法确定A,B的大小
B
)。A.$A=B$
B.$A>B$
C.$A<B$
D.无法确定A,B的大小
答案:
5.B【解析】由A×0.99得出得数小于A,由B÷0.99得出得数大于B,所以A大于B。
6. (定州市·期末)1.5千克黄豆能做4千克豆腐,做1千克豆腐需要多少千克黄豆?列式为(
A.$1.5÷4$
B.$4÷1.5$
C.$1.5×4$
A
)。A.$1.5÷4$
B.$4÷1.5$
C.$1.5×4$
答案:
6.A
1. 直接写得数。(4分)
$0.27÷0.3=$ $1.47÷0.7=$ $0.54÷9=$ $1.2÷0.4=$
$0.8÷0.8=$ $2.1÷0.3=$ $0÷8=$ $1÷0.4=$
$0.27÷0.3=$ $1.47÷0.7=$ $0.54÷9=$ $1.2÷0.4=$
$0.8÷0.8=$ $2.1÷0.3=$ $0÷8=$ $1÷0.4=$
答案:
1.0.9 2.1 0.06 3 1 7 0 2.5
2. 竖式计算。(除不尽的用循环小数表示商)(12分)
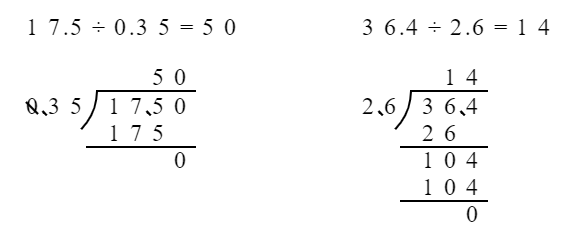
$17.5÷0.35$ $36.4÷2.6$ $16.787÷0.88$
(结果保留一位小数)
$6.27÷3.5$ $30.1÷33$ $50÷42$
(结果保留两位小数) (结果精确到百分位)
$17.5÷0.35$ $36.4÷2.6$ $16.787÷0.88$
(结果保留一位小数)
$6.27÷3.5$ $30.1÷33$ $50÷42$
(结果保留两位小数) (结果精确到百分位)
答案:
50 14 19.1 1.79 0.912 1.19




50 14 19.1 1.79 0.912 1.19
查看更多完整答案,请扫码查看