一、把竖式计算补充完整,并填一填。

计算$3.2÷0.05$时,需要把$0.05$的小数点向(
【特别提醒】把除数变成整数时,被除数的小数点向右移动的位数,取决于除数的小数位数,也就是说被除数和除数的小数点要向右移动相同的位数。
计算$3.2÷0.05$时,需要把$0.05$的小数点向(
右
)移动(两
)位,转化成整数,根据商不变的性质,被除数的小数点也要向(右
)移动(两
)位,因为$3.2$是一位小数,位数不够,所以需要补(0
)占位。【特别提醒】把除数变成整数时,被除数的小数点向右移动的位数,取决于除数的小数位数,也就是说被除数和除数的小数点要向右移动相同的位数。
答案:
竖式略 右 两 右 两 0
1. 把$1.75$的小数点去掉后,得到的整数是原数的(
100
)倍;$0.026$扩大到它的(1000
)倍才能变成$26$。
答案:
1.100 1000
2. 把下面各题变成除数是整数的除法。
$3.96÷0.3=$(
$0.3402÷0.078=$(
$3.5÷1.86=$(
$47÷0.05=$(
$3.96÷0.3=$(
39.6
)$÷3$$0.3402÷0.078=$(
340.2
)$÷$(78
)$3.5÷1.86=$(
350
)$÷186$$47÷0.05=$(
4700
)$÷$(5
)
答案:
2.39.6 340.2 78 350 4700 5
3. $0.35$里面有(
7
)个$0.05$;$3.5$里面有(70
)个$0.05$。
答案:
3.7 70
4. 贴门神是春节的一项传统习俗,大年三十,小华和爷爷一起贴门神,他测得一张门神画像面积为$0.21m^{2}$,它的宽为$0.42m$,门神画像的长为(
0.5
)m。
答案:
4.0.5
三、判断。(对的打“√”,错的打“×”)
1. $19.76÷5.2=1976÷52$(
2. 小数除以小数,商一定不是小数。(
3. 两个数相除的商是$6.3$,被除数和除数同时扩大到原来的$10$倍,商就变成了$63$。(
4. $5.73÷0.6$,$57.3÷6$,$5730÷60$三个算式的商相等。(
1. $19.76÷5.2=1976÷52$(
×
)2. 小数除以小数,商一定不是小数。(
×
)3. 两个数相除的商是$6.3$,被除数和除数同时扩大到原来的$10$倍,商就变成了$63$。(
×
)4. $5.73÷0.6$,$57.3÷6$,$5730÷60$三个算式的商相等。(
×
)
答案:
1.× 2.× 3.× 4.×
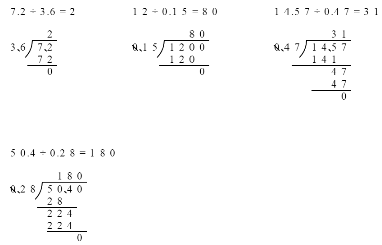
四、列竖式计算下面各题。
$7.2÷3.6=$ $12÷0.15=$
$14.57÷0.47=$ $50.4÷0.28=$
$7.2÷3.6=$ $12÷0.15=$
$14.57÷0.47=$ $50.4÷0.28=$
答案:
查看更多完整答案,请扫码查看