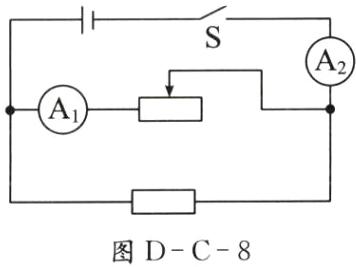
13. (2分)请根据如图C-Z-7所示的实物图在虚线框内画出对应的电路图。

答案:
如图 D-C-8 所示
如图 D-C-8 所示
14. (10分)如图C-Z-8甲所示,某小组用两个同样的电加热器做“比较不同物质的吸热能力”实验。

(1)实验时,应使水和煤油的______(选填“质量”或“体积”)和初温相等。除了图C-Z-8甲中的器材外,还需要的测量工具是天平和______。
(2)实验中,液体吸热的多少是通过______(填选项字母)反映的。
A. 液体温度升高的多少
B. 加热时间的长短
(3)实验中水和煤油的温度随时间变化的关系图像如图C-Z-8乙所示,而实验结果是水的吸热能力更强,据此可判断出物质______(选填“$a$”或“$b$”)是水。
(4)如果用两个同样的电加热器分别给质量均为$1\ {kg}$的液体甲和水加热,它们的温度随时间变化的关系图像如图C-Z-8丙所示,据此可判断出液体甲的比热容为______${J/(kg\cdot^{\circ}C)}$。[$c_{水}= 4.2× 10^{3}\ {J/(kg\cdot^{\circ}C)}$]
(1)实验时,应使水和煤油的______(选填“质量”或“体积”)和初温相等。除了图C-Z-8甲中的器材外,还需要的测量工具是天平和______。
(2)实验中,液体吸热的多少是通过______(填选项字母)反映的。
A. 液体温度升高的多少
B. 加热时间的长短
(3)实验中水和煤油的温度随时间变化的关系图像如图C-Z-8乙所示,而实验结果是水的吸热能力更强,据此可判断出物质______(选填“$a$”或“$b$”)是水。
(4)如果用两个同样的电加热器分别给质量均为$1\ {kg}$的液体甲和水加热,它们的温度随时间变化的关系图像如图C-Z-8丙所示,据此可判断出液体甲的比热容为______${J/(kg\cdot^{\circ}C)}$。[$c_{水}= 4.2× 10^{3}\ {J/(kg\cdot^{\circ}C)}$]
答案:
(1)质量 停表
(2)B
(3)a
(4)2.8×10³
(1)质量 停表
(2)B
(3)a
(4)2.8×10³
15. (10分)在“探究电流与电阻的关系”实验中,小礼用电流表、电压表、定值电阻、滑动变阻器、电源、开关、导线等器材进行实验,电路图如图C-Z-9甲所示。

(1)如图C-Z-9甲所示,开关闭合前,滑动变阻器的滑动头$P$应移动到______(选填“$A$”或“$B$”)端。请根据图C-Z-9甲中的电路图,用笔画线表示导线将图C-Z-9乙中的实物图连接完整,要求:滑动头$P$向左移动时,电压表的示数变大。
(2)闭合开关后,发现电流表的示数为零,电压表的示数接近电源电压,则故障原因是______。

(3)排除故障后闭合开关,电流表的示数如图C-Z-9丙所示,则电流表的示数为______${A}$。
(4)图C-Z-9丁中能大致反映本实验中电流$I与电阻R$之间的关系的是______(填选项字母)。
(1)如图C-Z-9甲所示,开关闭合前,滑动变阻器的滑动头$P$应移动到______(选填“$A$”或“$B$”)端。请根据图C-Z-9甲中的电路图,用笔画线表示导线将图C-Z-9乙中的实物图连接完整,要求:滑动头$P$向左移动时,电压表的示数变大。
(2)闭合开关后,发现电流表的示数为零,电压表的示数接近电源电压,则故障原因是______。
(3)排除故障后闭合开关,电流表的示数如图C-Z-9丙所示,则电流表的示数为______${A}$。
(4)图C-Z-9丁中能大致反映本实验中电流$I与电阻R$之间的关系的是______(填选项字母)。
答案:
(1)B 如图 D-C-9 所示
(2)定值电阻断路
(3)0.20
(4)B
(1)B 如图 D-C-9 所示
(2)定值电阻断路
(3)0.20
(4)B
查看更多完整答案,请扫码查看