一 列竖式计算,带※号的要验算。
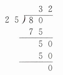
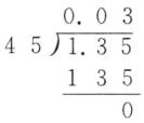
$5.95÷85$ ※$72.9÷18$
$29.76÷62$ ※$43.2÷45$
$5.95÷85$ ※$72.9÷18$
$29.76÷62$ ※$43.2÷45$
答案:
=0.07 =4.05 =0.48 =0.96 竖式及验算略
二 先选择错因,再改正。
①不够除时,没有商 0 占位
②漏标小数点

错因( )

错因( )
①不够除时,没有商 0 占位
②漏标小数点
错因( )
错因( )
答案:
② 改正:
① 改正:
② 改正:
三 下面各题的商哪些大于 1?哪些小于 1?(填序号)
①$2.4÷3$ ②$8.64÷5$ ③$3.12÷3$
④$11.7÷13$ ⑤$24.6÷6$ ⑥$5.2÷8$
商大于 1 的有(

①$2.4÷3$ ②$8.64÷5$ ③$3.12÷3$
④$11.7÷13$ ⑤$24.6÷6$ ⑥$5.2÷8$
商大于 1 的有(
②③⑤
),商小于 1 的有( ①④⑥
)。
答案:
②③⑤ ①④⑥
四 王阿姨买 2 千克苹果和 3 千克梨共付了 29.4 元,李阿姨买 6 千克苹果和 3 千克梨共付了 52.4 元,每千克苹果多少钱?
答案:
52.4 - 29.4 = 23(元)
23÷(6 - 2)=5.75(元)
答:每千克苹果5.75元。
23÷(6 - 2)=5.75(元)
答:每千克苹果5.75元。
五 一栋 16 层大楼高 46.8 米,最下面一层是高为 4.8 米的门面房,门面房上面是住房,每层住房有多高?

答案:
46.8 - 4.8 = 42(米) 16 - 1 = 15(层)
42÷15 = 2.8(米)
答:每层住房高2.8米。
42÷15 = 2.8(米)
答:每层住房高2.8米。
六 (情境题)王叔叔家离公司 4.8km,早上他骑车去上班顺风行驶用了 18 分钟,下午下班回家逆风行驶用了 42 分钟。王叔叔骑车往返平均每分钟行驶多少千米?
答案:
18 + 42 = 60(分钟) 4.8×2 = 9.6(千米)
9.6÷60 = 0.16(千米)
答:王叔叔骑车往返平均每分钟行驶0.16千米。
9.6÷60 = 0.16(千米)
答:王叔叔骑车往返平均每分钟行驶0.16千米。
查看更多完整答案,请扫码查看