1. 想一想,填一填。

$3.5 ÷ 0.14 = □$
$\downarrow × 100 \downarrow × 100 \uparrow$
$□ ÷ □ = □$
$3.5 ÷ 0.14 = □$
$\downarrow × 100 \downarrow × 100 \uparrow$
$□ ÷ □ = □$
答案:
25 350 14 25
2. 请选择下面各题的错因。

(1)
$\begin{array}{r} 3.12 \\ 1.5\enclose{longdiv}{46.8} \\ 45 \\ \hline 18 \\ 15 \\ \hline 30 \\ 30 \\ \hline 0 \end{array}$
(

(2)
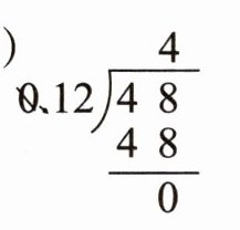
$\begin{array}{r} 4 \\ 0.12\enclose{longdiv}{48} \\ 48 \\ \hline 0 \end{array}$
(
A. 被除数和除数没有扩大相同的倍数
B. 商中的小数点位置点错了
C. 缺少计算步骤
(1)
$\begin{array}{r} 3.12 \\ 1.5\enclose{longdiv}{46.8} \\ 45 \\ \hline 18 \\ 15 \\ \hline 30 \\ 30 \\ \hline 0 \end{array}$
(
B
)(2)
$\begin{array}{r} 4 \\ 0.12\enclose{longdiv}{48} \\ 48 \\ \hline 0 \end{array}$
(
A
)A. 被除数和除数没有扩大相同的倍数
B. 商中的小数点位置点错了
C. 缺少计算步骤
答案:
2.
(1)B
(2)A
(1)B
(2)A
3. 列竖式计算。(带☆的要验算)
$15.36 ÷ 0.48 =$
$66.5 ÷ 1.9 =$
$10.2 ÷ 0.025 =$
$☆22.5 ÷ 0.15 =$
$☆1.8 ÷ 0.03 =$
$☆7.65 ÷ 0.5 =$
$15.36 ÷ 0.48 =$
$66.5 ÷ 1.9 =$
$10.2 ÷ 0.025 =$
$☆22.5 ÷ 0.15 =$
$☆1.8 ÷ 0.03 =$
$☆7.65 ÷ 0.5 =$
答案:
3.(竖式略)32 35 408 150 60 15.3 (验算略)
4. 把表格填完整。

答案:
4.19.04 5.8 8
5. 解决问题。
(1) 妈妈在菜市场买了$4.5\mathrm{kg}$西红柿,付给售货员$20$元,找回$6.5$元,每千克西红柿多少元?
(2) 明明用$13.2$元去买学习用品,买了$5$支铅笔,每支$4$角,剩下的钱买手工纸,每袋$2.8$元,可以买几袋手工纸?
(1) 妈妈在菜市场买了$4.5\mathrm{kg}$西红柿,付给售货员$20$元,找回$6.5$元,每千克西红柿多少元?
(2) 明明用$13.2$元去买学习用品,买了$5$支铅笔,每支$4$角,剩下的钱买手工纸,每袋$2.8$元,可以买几袋手工纸?
答案:
5.
(1)20-6.5=13.5(元) 13.5÷4.5=3(元)
(2)5×0.4=2(元) 13.2-2=11.2(元) 11.2÷2.8=4(袋)
(1)20-6.5=13.5(元) 13.5÷4.5=3(元)
(2)5×0.4=2(元) 13.2-2=11.2(元) 11.2÷2.8=4(袋)
在下图中,把相邻两个数相除得$0.4$的六边形都涂上红色,会得到一个惊喜!

$\begin{array}{ccccc}& & 1.8 & & \\& 9.7 & & 1.28 & \\45 & & 125 & & 3.2 \\& 50 & & 0.4 & \\& & 20 & & 8 \\& 9.2 & & 1.6 & \\& & 3.8 & &\end{array}$
$\begin{array}{ccccc}& & 1.8 & & \\& 9.7 & & 1.28 & \\45 & & 125 & & 3.2 \\& 50 & & 0.4 & \\& & 20 & & 8 \\& 9.2 & & 1.6 & \\& & 3.8 & &\end{array}$
答案:
需要涂红色的六边形对应的数字为:1.28、3.2、125、50、20。
步骤如下:
1. 1.28与3.2相邻,1.28÷3.2=0.4,故两者涂红;
2. 50与125相邻,50÷125=0.4,故两者涂红;
3. 20与50相邻,20÷50=0.4,故两者涂红。
综上,涂红色的六边形数字为1.28、3.2、125、50、20。
步骤如下:
1. 1.28与3.2相邻,1.28÷3.2=0.4,故两者涂红;
2. 50与125相邻,50÷125=0.4,故两者涂红;
3. 20与50相邻,20÷50=0.4,故两者涂红。
综上,涂红色的六边形数字为1.28、3.2、125、50、20。
查看更多完整答案,请扫码查看