第66页
- 第1页
- 第2页
- 第3页
- 第4页
- 第5页
- 第6页
- 第7页
- 第8页
- 第9页
- 第10页
- 第11页
- 第12页
- 第13页
- 第14页
- 第15页
- 第16页
- 第17页
- 第18页
- 第19页
- 第20页
- 第21页
- 第22页
- 第23页
- 第24页
- 第25页
- 第26页
- 第27页
- 第28页
- 第29页
- 第30页
- 第31页
- 第32页
- 第33页
- 第34页
- 第35页
- 第36页
- 第37页
- 第38页
- 第39页
- 第40页
- 第41页
- 第42页
- 第43页
- 第44页
- 第45页
- 第46页
- 第47页
- 第48页
- 第49页
- 第50页
- 第51页
- 第52页
- 第53页
- 第54页
- 第55页
- 第56页
- 第57页
- 第58页
- 第59页
- 第60页
- 第61页
- 第62页
- 第63页
- 第64页
- 第65页
- 第66页
- 第67页
- 第68页
1. 选出错因并改正。
①商的位置书写错误
②商大了,余数错误 ③商小了,余数错误
④余数不够除时没有商0占位
⑤错把试商的整十数当作除数
(1)$365÷42= 9……5$
(40) 9 改正:
42$\overline{)365}$
360
---
5 ( )

(2)$232÷28= 7……36$
(30) 7 改正:
28$\overline{)232}$
196
---
36 ( )

(3)$660÷13= 5……10$
(10) 5 改正:
13$\overline{)660}$
65
---
10 ( )

(4)$220÷24= 90……4$
(20) 90 改正:
24$\overline{)220}$
216
---
4 ( )

①商的位置书写错误
②商大了,余数错误 ③商小了,余数错误
④余数不够除时没有商0占位
⑤错把试商的整十数当作除数
(1)$365÷42= 9……5$
(40) 9 改正:
42$\overline{)365}$
360
---
5 ( )
(2)$232÷28= 7……36$
(30) 7 改正:
28$\overline{)232}$
196
---
36 ( )
(3)$660÷13= 5……10$
(10) 5 改正:
13$\overline{)660}$
65
---
10 ( )
(4)$220÷24= 90……4$
(20) 90 改正:
24$\overline{)220}$
216
---
4 ( )
答案:
1.
(1)⑤ 365÷42=8……29
(2)③ 232÷28=8……8
(3)④ 660÷13=50……10
(4)① 220÷24=9……4
[点拨]列竖式计算三位数除以两位数的注意事项:①要注意被除数的前两位大于除数,商写在十位上;被除数的前两位小于除数,商写在个位上。②计算有余数的除法时,余数一定要小于除数。③余数不够除时,商的个位要商0占位。④商一定要和原除数相乘,不能和试商用的整十数相乘。
1.
(1)⑤ 365÷42=8……29
(2)③ 232÷28=8……8
(3)④ 660÷13=50……10
(4)① 220÷24=9……4
[点拨]列竖式计算三位数除以两位数的注意事项:①要注意被除数的前两位大于除数,商写在十位上;被除数的前两位小于除数,商写在个位上。②计算有余数的除法时,余数一定要小于除数。③余数不够除时,商的个位要商0占位。④商一定要和原除数相乘,不能和试商用的整十数相乘。
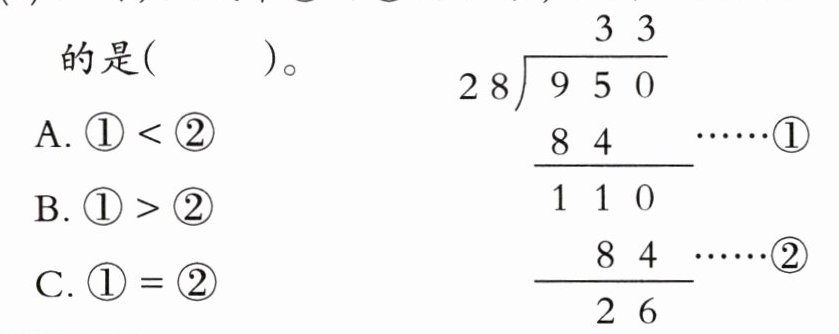
2. 一道除法竖式,如图所示,试商后发现余数比除数大,调商后正确的余数是( )。

A.1
B.2
C.3
D.4
□
29$\overline{)□□□}$
□□□
---
32
A.1
B.2
C.3
D.4
□
29$\overline{)□□□}$
□□□
---
32
答案:
2.C [点拨]除数是29,试商后发现余数是32,32是29 的1倍多3,说明商还可以再增加1,余数减掉29后还剩3。
3.(1)【台州市椒江区】$甲数÷乙数= 8……5$,如果甲数、乙数同时扩大到原来的100倍,那么余数是( )。
A.5 B.50 C.500
(2)【台州市路桥区】下列算式中,与“A÷B”的商不相等的是( )。(A>B>0)
A.$(A+A)÷(B+B)$ B.$A×4÷ B×4$ C.$(A÷6)÷(B÷6)$
(3)【台州市】某小学开展“一盔一带”文明交通活动,荣老师以身作则,带了150元去购买头盔,一个头盔60元。下面说法正确的是( )。
A.最多能买20个头盔 B.能买20个头盔,还剩3元 C.能买2个头盔,还剩30元

2

60$\overline{)150}$
120
---
30
A.5 B.50 C.500
(2)【台州市路桥区】下列算式中,与“A÷B”的商不相等的是( )。(A>B>0)
A.$(A+A)÷(B+B)$ B.$A×4÷ B×4$ C.$(A÷6)÷(B÷6)$
(3)【台州市】某小学开展“一盔一带”文明交通活动,荣老师以身作则,带了150元去购买头盔,一个头盔60元。下面说法正确的是( )。
A.最多能买20个头盔 B.能买20个头盔,还剩3元 C.能买2个头盔,还剩30元
2
60$\overline{)150}$
120
---
30
答案:
3.
(1)C
(2)B
(3)C
(1)C
(2)B
(3)C
4.【宁波市海曙区】荣老师要为学生购买一批桌垫,正好赶上“双十一”促销。用420元最多能买多少个这样的桌垫?

24元/个 买五送二
24元/个 买五送二
答案:
4.420÷24=17(个)……12(元)
17÷5=3(组)……2(个) 17+3×2=23(个)
答:用420元最多能买23个这样的桌垫。
17÷5=3(组)……2(个) 17+3×2=23(个)
答:用420元最多能买23个这样的桌垫。
查看更多完整答案,请扫码查看