第68页
- 第1页
- 第2页
- 第3页
- 第4页
- 第5页
- 第6页
- 第7页
- 第8页
- 第9页
- 第10页
- 第11页
- 第12页
- 第13页
- 第14页
- 第15页
- 第16页
- 第17页
- 第18页
- 第19页
- 第20页
- 第21页
- 第22页
- 第23页
- 第24页
- 第25页
- 第26页
- 第27页
- 第28页
- 第29页
- 第30页
- 第31页
- 第32页
- 第33页
- 第34页
- 第35页
- 第36页
- 第37页
- 第38页
- 第39页
- 第40页
- 第41页
- 第42页
- 第43页
- 第44页
- 第45页
- 第46页
- 第47页
- 第48页
- 第49页
- 第50页
- 第51页
- 第52页
- 第53页
- 第54页
- 第55页
- 第56页
- 第57页
- 第58页
- 第59页
- 第60页
- 第61页
- 第62页
- 第63页
- 第64页
- 第65页
- 第66页
- 第67页
- 第68页
- 第69页
1. 新特色.现代科技(2024湖北武汉江岸期末)如图所示情景中的物体,没有受到浮力的是(P8202002)( )

答案:
B 飘在空中的飞艇受到空气的浮力;太空中是真空的,在太空中飞行的空间站不受浮力;在海水中下潜的深潜器受到水的浮力;正在海上航行的福建舰受到海水的浮力;故选B。
2. (2024广东深圳福田期中)如图所示,A、B是可自由移动的物体,C、D是容器自身凸起的一部分,现往容器里注入一些水,则下列说法中正确的是(P8202001)( )

A. A物体不一定受到浮力作用
B. B物体一定受到浮力作用
C. C物体不一定受到浮力作用
D. D物体一定受浮力的作用
A. A物体不一定受到浮力作用
B. B物体一定受到浮力作用
C. C物体不一定受到浮力作用
D. D物体一定受浮力的作用
答案:
B A物体上表面没有受到水的压力,但下表面受到水的压力,因此水对A物体上下表面产生了向上的压力差,A物体受浮力的作用,故A错误;由图可知,水对B、C物体上下表面产生了向上的压力差,B、C物体都受浮力的作用,故B正确,C错误;D物体上表面受到水的压力,但下表面没有受到水的压力,因此水对D物体上下表面没有产生向上的压力差,D物体不受浮力的作用,故D错误。
3. 小朋友牵着气球在公园内游玩,气球所受浮力的示意图正确的是(P8202001)( )

答案:
A 浮力的方向总是竖直向上,故A正确。
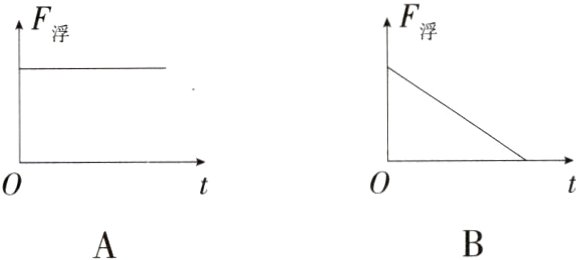
4. 跨生物.生物保护(2024广东广州广大附中二模)为拯救濒危物种中华鲟,生物学家在放养的中华鲟身上拴上定位硬壳胶囊。数天后,胶囊与潜入水中的中华鲟脱离,最终漂浮于江面并发射定位信号。脱离后,胶囊受到的浮力随时间变化的关系为下列图中的(P8202002)( )


答案:
D 当胶囊未露出江面时,排开水的体积不变,根据阿基米德原理知,该过程胶囊所受浮力大小不变;在胶囊露出江面的过程中,排开水的体积不断变小,由$F_{浮}=\rho_{液}gV_{排}$可知,该过程中胶囊所受浮力不断变小;当胶囊漂浮在江面时,排开水的体积不变,根据阿基米德原理知,该过程胶囊所受浮力大小不变。故D正确。
5. (2024广东肇庆中学二模)如图所示为某半潜船的工作示意图,半潜船在如图所示的三种状态下所受的浮力从左至右依次为F₁、F₂、F₃,它们的大小关系是(P8202002)( )

A. F₁>F₂>F₃
B. F₁>F₃>F₂
C. F₂>F₃>F₁
D. F₁=F₂=F₃
A. F₁>F₂>F₃
B. F₁>F₃>F₂
C. F₂>F₃>F₁
D. F₁=F₂=F₃
答案:
C 由图可知空载、下沉、载货时,半潜船排开水的体积大小关系为$V_{2}>V_{3}>V_{0}$,根据阿基米德原理,液体密度相同,排开液体体积越大浮力越大,则$F_{2}>F_{3}>F_{0}$。
6. (2024安徽霍邱期末)如图所示,甲、乙两容器中装有不同的液体。将同一个密度计先后放入两容器中,密度计在容器中的位置如图所示,密度计在甲、乙两容器中所受浮力分析正确的是( )

A. F甲>F乙
B. F甲<F乙
C. F甲=F乙
D. 无法判断
A. F甲>F乙
B. F甲<F乙
C. F甲=F乙
D. 无法判断
答案:
C 密度计在甲、乙两容器中漂浮,密度计受到的浮力等于自身重力,即$F_{浮}=G$,则密度计在甲、乙两容器中受到的浮力大小相等,即$F_{甲}=F_{乙}$,故C正确。
查看更多完整答案,请扫码查看