2025年新坐标同步练习高中生物选择性必修2人教版青海专用
注:目前有些书本章节名称可能整理的还不是很完善,但都是按照顺序排列的,请同学们按照顺序仔细查找。练习册 2025年新坐标同步练习高中生物选择性必修2人教版青海专用 答案主要是用来给同学们做完题方便对答案用的,请勿直接抄袭。
第63页
- 第1页
- 第2页
- 第3页
- 第4页
- 第5页
- 第6页
- 第7页
- 第8页
- 第9页
- 第10页
- 第11页
- 第12页
- 第13页
- 第14页
- 第15页
- 第16页
- 第17页
- 第18页
- 第19页
- 第20页
- 第21页
- 第22页
- 第23页
- 第24页
- 第25页
- 第26页
- 第27页
- 第28页
- 第29页
- 第30页
- 第31页
- 第32页
- 第33页
- 第34页
- 第35页
- 第36页
- 第37页
- 第38页
- 第39页
- 第40页
- 第41页
- 第42页
- 第43页
- 第44页
- 第45页
- 第46页
- 第47页
- 第48页
- 第49页
- 第50页
- 第51页
- 第52页
- 第53页
- 第54页
- 第55页
- 第56页
- 第57页
- 第58页
- 第59页
- 第60页
- 第61页
- 第62页
- 第63页
- 第64页
- 第65页
- 第66页
- 第67页
- 第68页
- 第69页
- 第70页
- 第71页
- 第72页
- 第73页
- 第74页
2.下列关于“探究土壤微生物对淀粉的分解作用"的实验,设计不合理的是 (
A.用等量土壤浸出液和蒸馏水处理等量淀粉糊
B.实验应分别对土壤浸出液和蒸馏水进行高温灭菌后再处理淀粉糊
C.应在室温(20℃左右)下处理7天后,再进行相关检测
D.用碘液检测淀粉,用斐林试剂检测还原糖
B
)A.用等量土壤浸出液和蒸馏水处理等量淀粉糊
B.实验应分别对土壤浸出液和蒸馏水进行高温灭菌后再处理淀粉糊
C.应在室温(20℃左右)下处理7天后,再进行相关检测
D.用碘液检测淀粉,用斐林试剂检测还原糖
答案:
B
1.“落红不是无情物,化作春泥更护花”体现了生态系统中物质循环的原理。根据这一原理,下列说法正确的是 (
A.物质是能量的载体,物质循环也可以让能量循环利用
B.物质循环中的“循环”指的是在不同生物群落之间循环
C.物质循环中的“物质”指的是组成细胞的各种化合物
D.传统农业中的耕地技术可以加快生态系统的物质循环
D
)A.物质是能量的载体,物质循环也可以让能量循环利用
B.物质循环中的“循环”指的是在不同生物群落之间循环
C.物质循环中的“物质”指的是组成细胞的各种化合物
D.传统农业中的耕地技术可以加快生态系统的物质循环
答案:
D
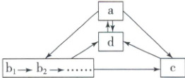
2.(2025.辽宁大连高二期末)下图表示生态系统碳循环,图中a、b、c、d表示该生态系统的四种成分,箭头表示各成分之间的关系。下列叙述错误的是 (

A.a、b和c所包含的所有种群构成群落
B.b的存在可以加快生态系统的物质循环
C.c是唯一能把有机物分解成无机物的成分
D.群落与d之间的碳循环主要以CO2的形式进行
C
)A.a、b和c所包含的所有种群构成群落
B.b的存在可以加快生态系统的物质循环
C.c是唯一能把有机物分解成无机物的成分
D.群落与d之间的碳循环主要以CO2的形式进行
答案:
C
3.(2025.湖南娄底高二期末)“碳达峰”指在某一个时间点,二氧化碳的排放不再增长而达到峰值,之后逐步回落;“碳中和”是指在一定时间内直接或间接产生的二氧化碳(温室气体)排放总量和通过一定途径吸收的二氧化碳总量相等,实现二氧化碳“零排放”。下列有关叙述错误的是 (
A.实现“碳达峰”后生态系统的碳循环会明显减慢
B.实现“碳中和"有助于解决全球温室效应的问题
C.实现“碳达峰”后空气中二氧化碳浓度仍可能增加
D.植树造林和减少化石燃料燃烧有助于实现“碳中和”
A
)A.实现“碳达峰”后生态系统的碳循环会明显减慢
B.实现“碳中和"有助于解决全球温室效应的问题
C.实现“碳达峰”后空气中二氧化碳浓度仍可能增加
D.植树造林和减少化石燃料燃烧有助于实现“碳中和”
答案:
A
4.(教材P64图3-11改编)下表是某水域生态系统在结构和功能处于相对稳定状态时,甲、乙、丙、丁四个种群所含有的总能量和残留DDT的平均浓度。下列说法错误的是 (

A.该生态系统的水体中DDT的浓度小于0.04ppm
B.DDT在代谢中不易分解,存在生物富集现象
C.丁种群个体死亡后释放的DDT还可能再进入丁种群
D.四个种群最简单的能量流动渠道是形成一条食物链
D
)A.该生态系统的水体中DDT的浓度小于0.04ppm
B.DDT在代谢中不易分解,存在生物富集现象
C.丁种群个体死亡后释放的DDT还可能再进入丁种群
D.四个种群最简单的能量流动渠道是形成一条食物链
答案:
D
查看更多完整答案,请扫码查看