2025年新坐标同步练习高中生物选择性必修2人教版青海专用
注:目前有些书本章节名称可能整理的还不是很完善,但都是按照顺序排列的,请同学们按照顺序仔细查找。练习册 2025年新坐标同步练习高中生物选择性必修2人教版青海专用 答案主要是用来给同学们做完题方便对答案用的,请勿直接抄袭。
第60页
- 第1页
- 第2页
- 第3页
- 第4页
- 第5页
- 第6页
- 第7页
- 第8页
- 第9页
- 第10页
- 第11页
- 第12页
- 第13页
- 第14页
- 第15页
- 第16页
- 第17页
- 第18页
- 第19页
- 第20页
- 第21页
- 第22页
- 第23页
- 第24页
- 第25页
- 第26页
- 第27页
- 第28页
- 第29页
- 第30页
- 第31页
- 第32页
- 第33页
- 第34页
- 第35页
- 第36页
- 第37页
- 第38页
- 第39页
- 第40页
- 第41页
- 第42页
- 第43页
- 第44页
- 第45页
- 第46页
- 第47页
- 第48页
- 第49页
- 第50页
- 第51页
- 第52页
- 第53页
- 第54页
- 第55页
- 第56页
- 第57页
- 第58页
- 第59页
- 第60页
- 第61页
- 第62页
- 第63页
- 第64页
- 第65页
- 第66页
- 第67页
- 第68页
- 第69页
- 第70页
- 第71页
- 第72页
- 第73页
- 第74页
1.(教材P62图3-10改编)下图是碳循环示意图,序号代表不同碳传递过程,字母表示生态系统的成分。下列叙述错误的是 (

A.图中的C可以是动物或微生物
B.①中碳吸收量与②③5中碳释放量相等
C.①~⑥过程中碳不都以CO2的形式传递
D.绿色低碳出行降低了⑥中碳排放量
B
)A.图中的C可以是动物或微生物
B.①中碳吸收量与②③5中碳释放量相等
C.①~⑥过程中碳不都以CO2的形式传递
D.绿色低碳出行降低了⑥中碳排放量
答案:
B
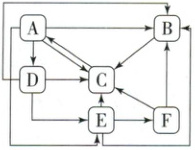
2.如图是生态系统中碳循环示意图,其中“→”表示碳的流动方向。下列叙述错误的是 (

A.在碳循环过程中,同时伴随着能量流动
B.由于某种原因,图中E生物数量大量减少,推测短期内D增多,F减少
C.该生态系统的消费者包括图中的D、E、F、B
$D.$在$A→C$过程中碳主要以$CO2$的形式进行循环$,$在$F→B$过程中碳以含碳有机物的形式进行传递
C
) A.在碳循环过程中,同时伴随着能量流动
B.由于某种原因,图中E生物数量大量减少,推测短期内D增多,F减少
C.该生态系统的消费者包括图中的D、E、F、B
$D.$在$A→C$过程中碳主要以$CO2$的形式进行循环$,$在$F→B$过程中碳以含碳有机物的形式进行传递
答案:
C
1.生物富集
(1)概念:生物体从周围环境吸收、积蓄某种元素或①
(2)特点

(1)概念:生物体从周围环境吸收、积蓄某种元素或①
难以降解
的化合物,使其在机体内浓度②超过
环境浓度的现象,称作生物富集。(2)特点
答案:
①难以降解;②超过;③聚集;④积累
2.能量流动和物质循环的关系
(1)联系
①二者⑤

(2)区别
在物质循环过程中,非生物环境中的物质可以被生物群落⑧
(1)联系
①二者⑤
同时进行
,彼此相互依存,不可分割。(2)区别
在物质循环过程中,非生物环境中的物质可以被生物群落⑧
反复
利用;能量在流经生态系统各营养级时,是⑨逐级递减
的,而且流动是⑩单方向不循环
的。
答案:
⑤同时进行;⑥载体;⑦动力;⑧反复;⑨逐级递减;⑩单方向不循环
查看更多完整答案,请扫码查看