2025年效率暑假江苏人民出版社九年级化学沪教版
注:目前有些书本章节名称可能整理的还不是很完善,但都是按照顺序排列的,请同学们按照顺序仔细查找。练习册 2025年效率暑假江苏人民出版社九年级化学沪教版 答案主要是用来给同学们做完题方便对答案用的,请勿直接抄袭。
第38页
- 第1页
- 第2页
- 第3页
- 第4页
- 第5页
- 第6页
- 第7页
- 第8页
- 第9页
- 第10页
- 第11页
- 第12页
- 第13页
- 第14页
- 第15页
- 第16页
- 第17页
- 第18页
- 第19页
- 第20页
- 第21页
- 第22页
- 第23页
- 第24页
- 第25页
- 第26页
- 第27页
- 第28页
- 第29页
- 第30页
- 第31页
- 第32页
- 第33页
- 第34页
- 第35页
- 第36页
- 第37页
- 第38页
- 第39页
- 第40页
- 第41页
- 第42页
- 第43页
- 第44页
- 第45页
- 第46页
- 第47页
- 第48页
- 第49页
- 第50页
- 第51页
- 第52页
- 第53页
- 第54页
- 第55页
- 第56页
- 第57页
- 第58页
- 第59页
- 第60页
- 第61页
- 第62页
- 第63页
- 第64页
- 第65页
- 第66页
- 第67页
- 第68页
- 第69页
- 第70页
- 第71页
- 第72页
- 第73页
- 第74页
1. 下列情况会对人体健康造成较大危害的是( )
A.自来水中通入少量$Cl_2$进行消毒杀菌
B.使用$SO_2$漂白银耳
C.用食醋清洗热水瓶胆内壁附着的水垢
D.用小苏打焙制糕点
A.自来水中通入少量$Cl_2$进行消毒杀菌
B.使用$SO_2$漂白银耳
C.用食醋清洗热水瓶胆内壁附着的水垢
D.用小苏打焙制糕点
答案:
B 解析:氯气可用于自来水的杀菌消毒,由于氯水的 HClO 不稳定,见光易分解,且加热时 HCl挥发,对人体无害,故 A 正确;二氧化硫是有刺激性气味的有毒气体,具有漂白性,能和有色物质反应生成无色物质,加热后能恢复原来的颜色,漂白食品 时 污 染 食 品,故 B 错 误;$CaCO_{3}+$$2CH_{3}COOH=Ca(CH_{3}COO)_{2}+H_{2}O+CO_{2}\uparrow ,$醋酸、醋酸钙都易溶于水,用洗涤的方法可除去,且醋酸对人体无害,可做调味品,故 C 正确;碳酸氢钠与酸中和面粉中的酸反应生成二氧化碳,使面呈中性,对人体无害,故 D 正确。
2. 下列有关物质的用途错误的是( )
A.石墨作电极
B.干冰用于人工降雨
C.$NH_4Cl$当作复合肥使用
D.小苏打用于焙制糕点
A.石墨作电极
B.干冰用于人工降雨
C.$NH_4Cl$当作复合肥使用
D.小苏打用于焙制糕点
答案:
C 解析:氯化铵可作氮肥,复合肥是含氮、磷、钾三种元素中至少两种的化肥,复合肥可以是纯净物,也可以是混合物,C项错误。
3. 除去$FeCl_2溶液中的CuCl_2$可选用的试剂是( )
A.$Fe$
B.$Cu$
C.$HCl$
D.$Ag$
A.$Fe$
B.$Cu$
C.$HCl$
D.$Ag$
答案:
A 解析:Fe 能与$CuCl_{2}$溶液反应生成氯化亚铁和铜,能除去杂质且没有引入新的杂质,符合除杂原则,A 项正确;铜不与$CuCl_{2}$溶液反应,不能除去杂质,不符合除杂原则,B项错误;盐酸不与$CuCl_{2}$溶液反应,不能除去杂质,不符合除杂原则,C项错误;银不与$CuCl_{2}$溶液反应,不能除去杂质,不符合除杂原则,D项错误。故选 A。
4. 氢氟酸(HF)可用于在玻璃上雕刻各种精美图案,发生反应的化学方程式可表示为$SiO_2 + 4HF \xlongequal{} X \uparrow + 2H_2O$,则物质X为( )
A.$SiO$
B.$O_2$
C.$SiF_4$
D.$SiF$
A.$SiO$
B.$O_2$
C.$SiF_4$
D.$SiF$
答案:
C 解析:反应物中硅、氧、氢、氟元素的原子个数之比为$1:2:4:4$,生成物中硅、氧、氢、氟元素的原子个数之比为$0:2:4:0$,根据质量守恒定律,X 的化学式为$SiF_{4}$,故选 C。
5. 我国科学家研究了活性碳催化条件下煤气中的$H_2S和Hg$的协同脱除,部分反应机理如图所示(吸附在催化剂表面的物种用*标注)。有关该过程的叙述错误的是( )

A.产生清洁燃料$H_2$
B.$H_2S$脱除率为100%
C.$H_2S$既被氧化又被还原
D.脱$Hg反应为Hg + S \xlongequal{} HgS$
A.产生清洁燃料$H_2$
B.$H_2S$脱除率为100%
C.$H_2S$既被氧化又被还原
D.脱$Hg反应为Hg + S \xlongequal{} HgS$
答案:
B 解析:分析题给反应机理图是解题的基础,从机理循环图可以看出,进入的物质有$H_{2}S$,导出的物质有$H_{2}O$、$H_{2}$、S、$H_{2}S$、$CS_{2}$、$SO_{2}$,有关变化有:$H_{2}S=2H+S,H_{2}+S=H_{2}S,2S+C=$$CS_{2}$、$2H+O=H_{2}O$、$S+2O=SO_{2}$。结合题给活性碳催化条件下煤气中的$H_{2}S$和 Hg 的协同脱除,脱汞过程反应为$Hg+S=HgS$,整个过程主要反应方程式为$H_{2}S=H_{2}+S$和$Hg+H_{2}S$$=HgS+H_{2}$。$H_{2}S$被吸附在催化剂活性碳表面形成氢原子和硫原子,氢原子结合生成氢分子从催化剂表面脱附产生氢气,A 正确;由图可知,$H_{2}S$分解产生的$H_{2}$和 S 单质会再次生成$H_{2}S$,因此$H_{2}S$脱除率小于100%,B错误;由图可知,$H_{2}S$生成 S 单质的过程中,硫元素化合价升高被氧化,$H_{2}S$生成$H_{2}$的过程中,氢元素化合价降低被还原,C正确;该过程是$H_{2}S$和 Hg 的协同脱除,故生成的硫单质与 Hg 反应生成 HgS,D 正确。因此答案选 B。
6. 已知:金属X在常温下能与空气中的氧气反应,而金属Y和Z不能;将Y、Z分别投入稀盐酸中,Y溶解并产生气泡,Z无变化。下列说法正确的是( )
A.X氧化物的化学式只能表示为XO
B.Y能将X从它的盐溶液中置换出来
C.Z在自然界中只能以单质形式存在
D.三种金属的活动性顺序:$X > Y > Z$
A.X氧化物的化学式只能表示为XO
B.Y能将X从它的盐溶液中置换出来
C.Z在自然界中只能以单质形式存在
D.三种金属的活动性顺序:$X > Y > Z$
答案:
D 解析:铝在常温下能与空气中的氧气反应生成$Al_{2}O_{3}$,该选项 A 说法不正确;金属 X 在常温下能与空气中的氧气反应,而金属 Y 和 Z 不能,说明 X比 Y 和 Z 活泼,因此 Y 不能将 X 从它的盐溶液中置换出来,B说法不正确;Z在自然界中可能以单质形式存在,也可能以化合物形式存在,例如铜不能和稀盐酸反应,但是铜矿石中的铜以化合物形式存在,C说法不正确;金属 X 在常温下能与空气中的氧气反应,而金属 Y 和 Z 不能,说明 X 比 Y、Z活泼,将 Y、Z分别投入稀盐酸中,Y溶解并产生气泡,Z无变化,说明 Y 比 Z 活泼,因此三种金属的活动性顺序:$X>Y>Z$,D说法正确。
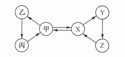
7. 甲、乙、丙、X、Y、Z六种物质间只通过一步反应就能实现如图中箭头所示的转化。不符合上述要求的一组物质是( )

| 选项 | 甲 | X |
| A | $O_2$ | $H_2O$ |
| B | $CO_2$ | $CaCO_3$ |
| C | $Fe$ | $Fe_3O_4$ |
| D | $NaOH$ | $NaNO_3$ |

| 选项 | 甲 | X |
| A | $O_2$ | $H_2O$ |
| B | $CO_2$ | $CaCO_3$ |
| C | $Fe$ | $Fe_3O_4$ |
| D | $NaOH$ | $NaNO_3$ |
答案:
D 解析:若甲是氧气,则乙可以是一氧化碳,丙是二氧化碳,X 是水,则 Y 是氢氧化钙,Z 是碳酸钙,可以一步反应实现,A 项正确;若甲是二氧化碳,则乙可以是氧气,丙是一氧化碳,X 是碳酸钙,Y是氧化钙,Z是氢氧化钙,可以一步反应实现,B项正确;若甲是铁,则乙可以是硫酸亚铁,丙可以是氯化亚铁,X 是四氧化三铁,Y 可以是水,Z 是氧气,可以一步反应实现,C项正确;若甲是氢氧化钠,X是硝酸钠,硝酸钠不能转化生成氢氧化钠,D项错误。
8. 将一小块金属钠投入过量的硫酸铜溶液中,主要生成物是( )
A.$Na_2SO_4和Cu$
B.$NaOH和H_2$
C.$Cu(OH)_2和H_2$
D.$Na_2SO_4$、$Cu(OH)_2和H_2$
A.$Na_2SO_4和Cu$
B.$NaOH和H_2$
C.$Cu(OH)_2和H_2$
D.$Na_2SO_4$、$Cu(OH)_2和H_2$
答案:
D 解析:钠先与水反应生成氢氧化钠和氢气,氢氧化钠与硫酸铜反应生成氢氧化铜和硫酸钠。故答案为 D。
9. 在一定条件下,下列物质的转化不能一步实现的是( )
A.$Fe \rightarrow Fe_3O_4$
B.$CuSO_4 \rightarrow Cu$
C.$CO_2 \rightarrow CO$
D.$H_2O_2 \rightarrow H_2$
A.$Fe \rightarrow Fe_3O_4$
B.$CuSO_4 \rightarrow Cu$
C.$CO_2 \rightarrow CO$
D.$H_2O_2 \rightarrow H_2$
答案:
D 解析:铁在氧气中燃烧或高温下和水蒸气可以反应生成四氧化三铁,A 项正确;硫酸铜遇活泼金属可发生置换反应生成硫酸铜,B项正确;二氧化碳和碳在高温下可以反应生成一氧化碳,C项正确;双氧水发生分解反应生成水和氧气,水分解反应生成氢气和氧气,D项错误。
查看更多完整答案,请扫码查看