2025年暑假生活海燕出版社二年级综合
注:目前有些书本章节名称可能整理的还不是很完善,但都是按照顺序排列的,请同学们按照顺序仔细查找。练习册 2025年暑假生活海燕出版社二年级综合 答案主要是用来给同学们做完题方便对答案用的,请勿直接抄袭。
第49页
- 第1页
- 第2页
- 第3页
- 第4页
- 第5页
- 第6页
- 第7页
- 第8页
- 第9页
- 第10页
- 第11页
- 第12页
- 第13页
- 第14页
- 第15页
- 第16页
- 第17页
- 第18页
- 第19页
- 第20页
- 第21页
- 第22页
- 第23页
- 第24页
- 第25页
- 第26页
- 第27页
- 第28页
- 第29页
- 第30页
- 第31页
- 第32页
- 第33页
- 第34页
- 第35页
- 第36页
- 第37页
- 第38页
- 第39页
- 第40页
- 第41页
- 第42页
- 第43页
- 第44页
- 第45页
- 第46页
- 第47页
- 第48页
- 第49页
- 第50页
- 第51页
- 第52页
- 第53页
- 第54页
- 第55页
- 第56页
- 第57页
- 第58页
- 第59页
- 第60页
- 第61页
- 第62页
- 第63页
- 第64页
- 第65页
- 第66页
- 第67页
- 第68页
- 第69页
- 第70页
- 第71页
- 第72页
- 第73页
- 第74页
- 第75页
- 第76页
5. 帮助小鸽子把信送回家。(连线)

答案:
26÷7——余数是5
28÷5——余数是3
45÷8——余数是5
39÷6——余数是3
23÷4——余数是3
58÷9——余数是4
28÷5——余数是3
45÷8——余数是5
39÷6——余数是3
23÷4——余数是3
58÷9——余数是4
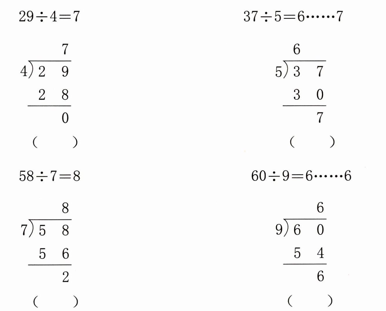
6. 对的在括号里画“√”,错的画“×”,并改错。

答案:
(×) $29÷4 = 7\cdots\cdots1$

(×) $37÷5 = 7\cdots\cdots2$

(×) $58÷7 = 8\cdots\cdots2$

(√) $60÷9 = 6\cdots\cdots6$
(×) $29÷4 = 7\cdots\cdots1$
(×) $37÷5 = 7\cdots\cdots2$
(×) $58÷7 = 8\cdots\cdots2$
(√) $60÷9 = 6\cdots\cdots6$
查看更多完整答案,请扫码查看