第24页
- 第1页
- 第2页
- 第3页
- 第4页
- 第5页
- 第6页
- 第7页
- 第8页
- 第9页
- 第10页
- 第11页
- 第12页
- 第13页
- 第14页
- 第15页
- 第16页
- 第17页
- 第18页
- 第19页
- 第20页
- 第21页
- 第22页
- 第23页
- 第24页
- 第25页
- 第26页
- 第27页
- 第28页
- 第29页
- 第30页
- 第31页
- 第32页
- 第33页
- 第34页
- 第35页
- 第36页
- 第37页
- 第38页
- 第39页
- 第40页
- 第41页
- 第42页
- 第43页
- 第44页
- 第45页
- 第46页
- 第47页
- 第48页
- 第49页
- 第50页
- 第51页
- 第52页
- 第53页
- 第54页
- 第55页
- 第56页
- 第57页
- 第58页
- 第59页
- 第60页
- 第61页
- 第62页
- 第63页
- 第64页
- 第65页
- 第66页
- 第67页
- 第68页
- 第69页
- 第70页
- 第71页
- 第72页
- 第73页
- 第74页
- 第75页
- 第76页
- 第77页
- 第78页
- 第79页
- 第80页
- 第81页
- 第82页
- 第83页
- 第84页
- 第85页
- 第86页
- 第87页
- 第88页
- 第89页
- 第90页
- 第91页
- 第92页
- 第93页
- 第94页
- 第95页
- 第96页
- 第97页
- 第98页
- 第99页
- 第100页
- 第101页
- 第102页
- 第103页
- 第104页
- 第105页
- 第106页
- 第107页
- 第108页
- 第109页
- 第110页
- 第111页
- 第112页
1. 学习长度的测量时,不仅要练习使用刻度尺来测量物体的长度,还要练习通过目测来估计一些常见物体的长度。下面是同学们在练习阶段对一些物体长度的估测值,其中正确的是(
A.普通宿舍房间门的高度一般都是 3 m
B.同学们大拇指指甲的宽度大约是 33 mm
C.一支新铅笔的长度大约为 20 dm
D.26 型电动车车轮的直径大约是 70 cm
D
)A.普通宿舍房间门的高度一般都是 3 m
B.同学们大拇指指甲的宽度大约是 33 mm
C.一支新铅笔的长度大约为 20 dm
D.26 型电动车车轮的直径大约是 70 cm
答案:
D
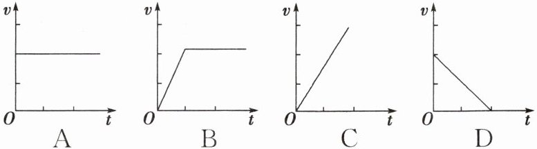
2. 汽车在平直公路上匀速行驶,下面四个图像中能正确表示汽车速度与时间关系的是(

A
)
答案:
A
3. (2025·日照期中)如图所示是某同学用刻度尺测量一支铅笔长度时的情景,对于此次测量,下列说法错误的是(

A.测量时,零刻度线没有对准铅笔的最左端
B.读数时,视线没有正对刻度线
C.在测量时,如果改正了其中的错误,测量的误差就会随错误的消失而消失
D.该刻度尺的分度值为 1 mm
C
)A.测量时,零刻度线没有对准铅笔的最左端
B.读数时,视线没有正对刻度线
C.在测量时,如果改正了其中的错误,测量的误差就会随错误的消失而消失
D.该刻度尺的分度值为 1 mm
答案:
C
4. 2024 年 3 月 20 日,我国鹊桥二号中继星由长征八号遥三运载火箭在中国文昌航天发射场发射升空,在共同升空过程中,下列说法正确的是(
A.以鹊桥二号为参照物,长征八号是静止的
B.以地球为参照物,鹊桥二号是静止的,长征八号是运动的
C.以月球为参照物,鹊桥二号是静止的,长征八号是运动的
D.以太阳为参照物,鹊桥二号是运动的,长征八号是静止的
A
)A.以鹊桥二号为参照物,长征八号是静止的
B.以地球为参照物,鹊桥二号是静止的,长征八号是运动的
C.以月球为参照物,鹊桥二号是静止的,长征八号是运动的
D.以太阳为参照物,鹊桥二号是运动的,长征八号是静止的
答案:
A
5. 小明步行的平均速度是 1.2 m/s,从家到学校要走 15 min,那么他上学要走的路程是(
A.1 080 m
B.108 m
C.18 km
D.0.3 km
A
)A.1 080 m
B.108 m
C.18 km
D.0.3 km
答案:
A
6. 王晓同学根据匀速直线运动的速度公式$v= \frac{s}{t}$得出以下结论,其中你认为正确的是(
A.速度跟路程成正比
B.速度与时间成反比
C.速度不变,路程与时间成正比
D.速度与路程成反比
C
)A.速度跟路程成正比
B.速度与时间成反比
C.速度不变,路程与时间成正比
D.速度与路程成反比
答案:
C
7. 甲、乙两物体同时同地向东做匀速直线运动,它们的$s-t$图像如图所示。由图像可知(

A.甲的速度小于乙的速度
B.经过 6 s,甲在乙前面 1.2 m 处
C.以甲为参照物,乙向东运动
D.以乙为参照物,甲向东运动
D
)A.甲的速度小于乙的速度
B.经过 6 s,甲在乙前面 1.2 m 处
C.以甲为参照物,乙向东运动
D.以乙为参照物,甲向东运动
答案:
D
查看更多完整答案,请扫码查看